Clipson
  • Топ 50 исполнителей
  • Популярные клипы
  • Случайный клип
  • Минусовки онлайн

Скачать клипы The Andre-Oort conjecture II ↓

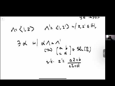
The Andre-Oort conjecture II - Bruno Klingler

The Andre-Oort conjecture II - Bruno Klingler

Recent developments of the mixed Andre-Oort conjecture - Ziyang Gao

Recent developments of the mixed Andre-Oort conjecture - Ziyang Gao

The André Oort Conjecture

The André Oort Conjecture

The André-Oort conjecture follows from the Colmez conjecture - Jacob Tsimerman

The André-Oort conjecture follows from the Colmez conjecture - Jacob Tsimerman

About the Andr\'e-Oort Conjecture - Umberto Zannier

About the Andr\'e-Oort Conjecture - Umberto Zannier

Atypical intersections, point-counting, and the Andr\'e-Oort conjecture

Atypical intersections, point-counting, and the Andr\'e-Oort conjecture

Ananth Shankar: Canonical heights on Shimura varieties and the Andre-Oort conjecture (NTWS 186)

Ananth Shankar: Canonical heights on Shimura varieties and the Andre-Oort conjecture (NTWS 186)

The André Oort conjecture and Manin Mumford (E. Ullmo)

The André Oort conjecture and Manin Mumford (E. Ullmo)

Jacob Tsimerman, Unlikely intersections and the André-Oort conjecture

Jacob Tsimerman, Unlikely intersections and the André-Oort conjecture

Holly Krieger: A case of the dynamical André-Oort conjecture

Holly Krieger: A case of the dynamical André-Oort conjecture

O-minimality, effectivity, and the André-Oort conjecture

O-minimality, effectivity, and the André-Oort conjecture

Emmanuel Ullmo - 2/4 La conjecture d’André-Oort

Emmanuel Ullmo - 2/4 La conjecture d’André-Oort

The hyperbolic Ax-Lindemann conjecture - Emmanuel Ullmo

The hyperbolic Ax-Lindemann conjecture - Emmanuel Ullmo

The Coleman-Oort conjecture on the finiteness of CM curves -- Lv

The Coleman-Oort conjecture on the finiteness of CM curves -- Lv

Shouwu Zhang - Colmez' conjecture in average

Shouwu Zhang - Colmez' conjecture in average

Gal Binyamini: Point counting for foliations in Diophantine geometry (NTWS 046)

Gal Binyamini: Point counting for foliations in Diophantine geometry (NTWS 046)

Emmanuel Ullmo - 1/4 La conjecture d’André-Oort

Emmanuel Ullmo - 1/4 La conjecture d’André-Oort

MCA Prize Lecture: Jacob Tsimerman (University of Toronto, Canada)

MCA Prize Lecture: Jacob Tsimerman (University of Toronto, Canada)

Jacob Tsimerman, The André--Grothendieck period conjecture over function fields

Jacob Tsimerman, The André--Grothendieck period conjecture over function fields

Some cases of the Zilber-Pink conjecture in $Y(1)^n$ - Georgios Papas

Some cases of the Zilber-Pink conjecture in $Y(1)^n$ - Georgios Papas

  • Загрузить больше

Скачать клипы The Andre-Oort conjecture II бесплатно и без регистрации

Clipson.ru - Скачать клипы бесплатно © 2026

Обратная связь: olegvostrilov[dog]gmail.com