Relativity 105b: Acceleration - Bell's Spaceship Paradox and Rindler Coordinates
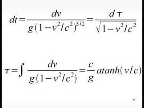
Relativity 105a: Acceleration - Hyperbolic Motion and Rindler Horizon
Relativity 105e: Acceleration - Covariant Derivative in Flat Spacetime (Rindler Coordinates)
Relativity 105f: Acceleration - Geodesics, Curved Light Beams (Rindler Coordinates)
Relativity 105c: Acceleration - The Jacobian (changing basis in curvilinear Rindler coordinates)
Relativity 105d: Acceleration - Twin Paradox and Proper Time Along Curves (Rindler Metric)
Accelerated reference frame in a spacetime diagram - Special Relativity Sandbox
Relativity 106a: Tensors - Frequency Wave Covectors and Doppler Shift (with accelerating frames)
Relativity 107a: General Relativity Basics - Equivalence Principle and Proper Acceleration
The Accelerating Relativistic Rockets Paradox (Bell's Spaceship Paradox)
Intro to General Relativity - 13 - Non-inertial frames in Special Relativity and Rindler coordinates
Acceleration in Special Relativity
Rindler horizon from the first person view
Rindler Gravity (vm6502q/OpenRelativity)
Hyperbolic Co-ordinates – The ‘Accelerating Frame of Reference’
Uniform acceleration in relativity, #3/3
05 Transition to the homogeneously accelerating reference frame in Minkowski spa
Relativity 104f: Special Relativity - Relativistic Dynamics and 4-Vectors (E=mc^2)
Acceleration is worldline curvature. Reformulating Newton''s laws in accordance.
Constant Speed & Positive Acceleration