Probability Video 2.3: Discrete Random Variables - Important Distributions
Random Variables and Probability Distributions
02 - Random Variables and Discrete Probability Distributions
Random variables | Probability and Statistics | Khan Academy
Probability Distributions and Random Variables | Econometrics 101: Lesson 2.1 | Think Econ
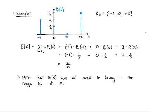
Probability 2.3 Expectation for Discrete Random Variables (2022)
[2. Discrete Probability] 2.3 Independence
Discrete and continuous random variables | Probability and Statistics | Khan Academy
AQA Statistics: Discrete random variables 2-3
Probability Video 2.2: Discrete Random Variables - Expected Values
Continuous Probability Distributions - Basic Introduction
Joint Probability Distributions| Econometrics 101: Lesson 2.3 | Think Econ
Functions of a Random Variable
Multiplication & Addition Rule - Probability - Mutually Exclusive & Independent Events
Linear Combinations of Random Variables | CIE A Level Probability & Statistics 2 | Exam-Ready Series
2.3 Probability & Theoretical Distribution
Chapter no 2/ Random variables and Probability distribution/ Example 2.1/ Lecture # 25
Probability Video 2.4: Discrete Random Variables - Conditional Probability Models
MDM4U - 3A - Discrete Probability Distributions - VIDEO
Standard Normal Distribution Tables, Z Scores, Probability & Empirical Rule - Stats