Aufg17 - Biegebemessung eines zweifeldrigen Plattenbalkens
Massivbau 1 – Beispiel 10 Biegebemessung Plattenbalken mit Nulllinie im Steg (schlank)
Aufg. 5 Plattenbalken Biegebemessung Nulllinie im Steg (Klausur SoSe 2021)
Plattenbalken Biegebemessung – Rep. Massivbau 1 (Klausur SoSe 13 Aufg. 10.1)
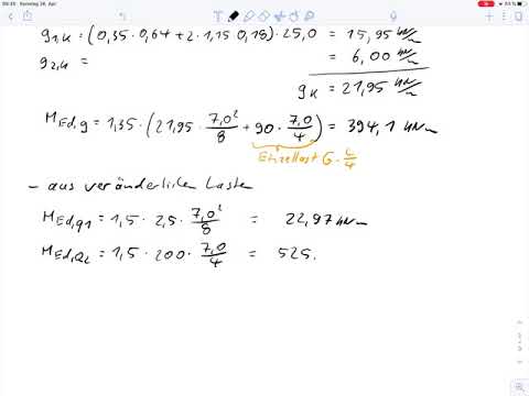
Bemessung eines Durchlaufträgers (Plattenbalken) – Rep. Massivbau 2
Aufg. 12 Plattenbalken Biegebemessung Anschluss Druckgurt (Klausur WiSe 21/22)
Aufg. 12 (Teil 1) – Plattenbalken Nulllinie in der Platte Biegebemessung (Klausur SoSe 2020)
Massivbau 1 – Beispiel 9 Biegebemessung Plattenbalken mit Nulllinie in der Platte (Teil 1)
Plattenbalken mit Nulllinie im Steg Biegebemessung – Rep. Massivbau 1 (Klausur SoSe 18 Aufg. 12)
Aufg. 3 – Biegebemessung und Anschluss Druckgurt Plattenbalken (Klausur WiSe 20/21)
Massivbau 1, Vorlesung 17 - Bemessung Plattenbalken 1
Aufg15 – Teil 1 – Biegebemessung Plattenbalken (Klausur SoSe 2025)
Aufg. 16 Biegebemessung Plattenbalken mit Nulllinie im Steg (Klausur SoSe 2023)
Aufg. 14 Plattenbalken - Biegebemessung - Anschluss Druckgurt (Klausur WiSe 24/25)
Problem 14 Bending design of T-beams and connection of the compression flange (Exam Summer Semest...
Massivbau 1 – Beispiel 11 Biegebemessung Plattenbalken mit Nulllinie im Steg (gedrungen)
Design of T-beams – Bending, Shear Force, Torsion – Rep. Reinforced Concrete Structures 3 (Exam S...
Bemessung eines Durchlaufträgers (Plattenbalken) – Rep. Massivbau 2 (Aufg6 WiSe14/15 und Aufg8)
Aufg. 13 Plattenbalken - Biegebemessung - Anschluss Druckgurt (Klausur WiSe 23/24)
Massivbau 1, Vorlesung 19 - Bemessung Plattenbalken 3