Me Salva! ITD05 - Integral Dupla iterada - Invertendo os limites de integração exemplo 2
Me Salva! Integral dupla - Área em coordenadas polares
Me Salva! Exemplos: Integral por Frações Parciais
Me Salva! ITD04 - Integral Dupla iterada - Invertendo os limites de integração exemplo 1
Me Salva! Pré-cálculo - Gráficos básicos que você deve saber
Me Salva! EXITD02 - Região de Integração (Exercício II) - Cálculo II
Me Salva! ITD03 - Integral Dupla - Regiões não retangulares Exemplo 1
Me Salva! ITD01 - Introdução as integrais duplas
Me Salva! ITD07 - Integral Dupla - Coordenadas polares exemplo 1
Me Salva! ITD08 - Integral Dupla - Coordenadas polares exemplo 2
Me Salva! ITD02 - Integral Dupla - Regiões não retangulares, Tipo 1 e 2
Me Salva! Integral simples - Área entre duas curvas
Me Salva! ITD06 - Integral Dupla iterada - Invertendo os limites de integração exemplo 3
O fantástico número 142857 | Me Salva!
Integrais Duplas - Inversão da Ordem de Integração - Coordenadas Cartesianas
Me Salva! EXITD01 - Região de Integração (Exercício I) - Cálculo II
O Circulo: Equação e gráfico
[Cálculo Diferencial e Integral]: Integração Dupla
Integral Dupla
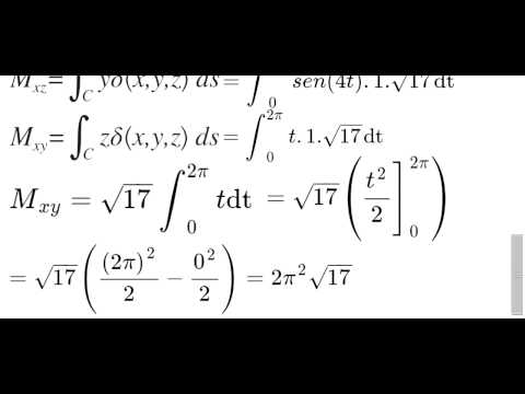
Exercício de Cálculo de Centro de Massa de Mola com Integrais de Linha
The Vampire Diaries 5x14 Webclip - Legendado
Integral Dupla ( Prof. Fernando Pizzo - Mágico)
Integrais duplas - Não retangulares (Exemplo 1) - Regiões 1 e 2
Inversion of limits of the definite integral | Mathematics | Khan Academy
Integrais de linha