Math 212 RS2 Lecture 16 - Taylor series, their convergence and applications
Math 212 RS2 Lecture 13 - How to Approach series: Strategy; Alternating Series Approximation Theorem
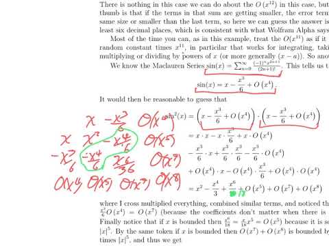
Math 212 RS2 Lecture 15 - First Zoom Class!!! Finding Power Series; Taylor Series; Maclaurin Series
Math 212 RS2 Lecture 23 - Equations of Lines and Planes; Sketching Cylinders
Math 212 RS2 Lecture 20 The 3D Coordinate System and Intro to Vectors
Math 212 RS2 Lecture 2 - Trig Integrals after more int by parts examples
Math 212 1XW Lecture 2 - Tabular Integration and more integral examples
Math 212 GH Lecture 12 - The Comparison Tests; The Alternating Series Test; The Ratio and Root Tests
Math 1207-R04 Lecture 16 - Numerical Integration and its associated errors conclusion
Math 212 GH Lecture 5 - The Weierstrass Substitution; The Cover Up Method; More Partial Fractions
Math 205 Lecture 15 - Linear Approximation and Marginal Analysis
Math 1206-R03 Lecture 21 - Linear Approximation and Differentials
Taylor and Maclaurin Polynomials
Taylor/Maclaurin Polynomials - BC Calculus
Python Slithers Into University Lecture Sparking Panic
8 1 Lecture Video Arc Length 1
Sequences and Series: Alternating Series - 03. Approximation Theorem
Math 2600 Taylor Polynomials
Math 1207-R04 Lecture 14 - More on the Comparison Theorem, and Approximate/Numerical Integration
Taylor Polynomial
RS2 Flying Cobra as a solo gunner
Math 1203-R03 Lecture 17 - Log Differentiation and L'Hôpital's Rule
Lesson 12-2, problems A-B (Taylor and Maclaurin polynomials)
Math 205 Lecture 13a - Linear Approximation and Marginal Analysis part 1
Math 202 Lecture 1 - Introduction Functions and Inverse Functions and their derivatives