Math 205 JW Lecture 23 - Area between curves conclusion
Math 205 Lecture 23 - Antiderivatives and the Fundamental Theorem of Calculus
Math 205 JW Lecture 24 - Review for test 4 - Integrals; Riemann sums; Area between curves
Math 205 Lecture 22 - Optimization, the conclusion
Math 205 JW Lecture 21 - Antiderivatives and the Fundamental Theorem of Calculus
Math 205 Lecture 25 - Mock Exam; Final Review
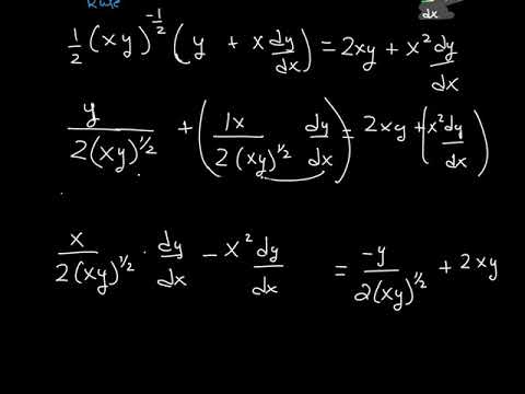
Chain in product rule with implicit differentiation
Math 205 ST Lecture 1 - Class Intro
Math 391 Lecture 22 - Fourier Series
Math 205 Lecture 19 - Max and Min values cont and Derivatives and shapes of graphs
Math 203 Lecture 27 - Cylindrical Coordinates
Math 391 Lecture 22 - Solving ODEs with the Laplace Transform; More on series solutions to ODEs
Math 205 Lecture 17 - Test 2 Review Q&A
Impulse Response and Difference Equation Rep. of LTID System
Math 205 Lecture 14 - More on Implicit Differentiation; Log Differentiation
MAT Livestream 2020 #014 | Maths-only edit | Polynomials and Algebra
Math 203 Lecture 19 - Test 2 topics and absolute max and min example
Math 203 Lecture 33 - Alternating series, Estimation, and absolute and conditional convergence
Math 346 Lecture 3 - Matrices, Matrix operations and Systems of equations part 1
Math 1000-R03 Lecture 5 - Essential Math Skills and how to get them; Factoring part 1