(MATH 203, LECTURE 22+23 ) Power series Method
Math 203 Lecture 22 - Double integrals over general regions continued
Math 391 Lecture 22 - Fourier Series
CSE 2213 C 203 Lecture 22 2021 01 12
calc203 lecture 22 pt1
Math 203 Lecture 23 - Double integrals over general regions and with polar coordinates
Calc III Lesson 22 Double Integrals General Regions.mp4
calc203 lecture 22 pt2
b22- eecs203 - relation properties
SA-II Dr. Sawarkar Lecture 22
Introduction to Signal Processing: Discrete Time Fourier transform (Lecture 22)
Lecture 22: Double Integrals over General Regions
Lecture 22: EET 203 | Loss of Charge Method |
Math 203 Lecture 10 - Functions of several variables multivariable functions
UG TRB | TNPSC | UNIT-1- ALGEBRA & TRIGONOMETRY | LECTURE 22 | PART 4 | PROBLEMS RECIPROCAL EQUATION
Master Program: Probability Theory - Lecture 22B: The one-dimensional central limit problem, Part 2
CSE 2213 C 203 Lecture 21 2021 01 09
Lecture - 22 | EEE203
OU course M203 (Intro to Pure Maths) Geometry 5 TV22 A Non Euclidean Geometry (1978)
Math 203 Lecture 21 - Double integrals over general regions prelecture
SS Lectures 21 and 22 - Bode Plots 2 and 3
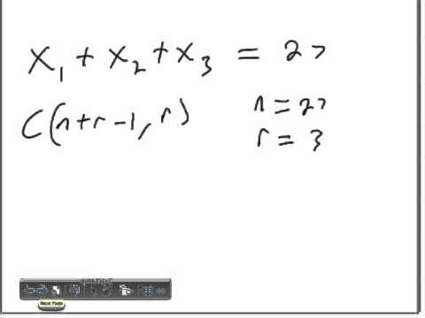
EECS 203- group B22- Combination with repetition.mov
LINEAR PROGRAMMING- QUANTITATIVE METHODS
Math 203 Lecture 14 - The Multivariable Chain Rule
Lecture 22 Example 1