Math 1203-R04 Lecture 9 - The Second Derivative and Concavity
Math 1203-R04 Lecture 9 - Derivatives by definition; Second Derivative; Concavity; Inflection
Math 1203-R04 Lecture 9 - Continuity and The Elementary Continuous Functions
Math 1203-R03 Lecture 9 - The Second Derivative and Concavity
Math 1203-R04 Lecture 11 - More on Continuity; and The Derivative
Math 1203-R04 Lecture 0 - Class Intro
Math 1203-R03 Lecture 10 - Inflections; 1st Derivative Test; Concavity Test; Existence of Derivative
Math 1203-R04 Lecture 11 - Derivative rules & properties: Exponential Rule Chain Rule and Power Rule
Math 1203-R01 Lecture 9 - Going over Quiz 5 and Going into Groups
Math 1203-R04 Lecture 19 - Linear Approximation
Math 1203-R04 Lecture 23 - Marginal Analysis
Math 1203-R04 Lecture 21 - Exponential Growth and Decay
Math 1203-R04 Lecture 4 - Linear Models; Interpreting Slope; Exponential Models
Math 1203-R04 Lecture 13 - The Second Derivative; Concavity; Inflection Points
Polynomial Division
Math 1206-R04 Lecture 21 - Linear Approximation and Differentials
Math 205 JW Lecture 10 - Study tips; Derivatives; Second derivative and derivative formulas intro
Math 1206-R04 Lecture 26 - What each derivative tells us; Concavity and Inflection Points
MTH 361: Lecture 9
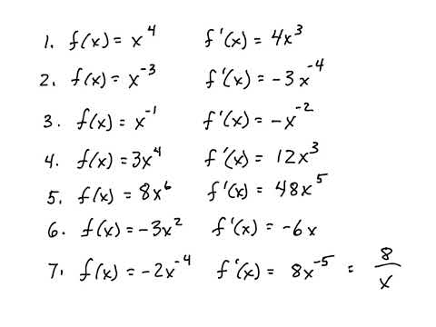
DerivativeWorksheet
AgEcon—Cost-Benefit Analysis and Marginal Utility
AP Calculus | Unit 2 - Differentiation: Definition and Basic Derivative Rules (Day 2)
Pathfinder for Olympiad and JEE Advanced physics, Page 12.22, Q - 17
Math 1203-L01 Lecture 15 - L'Hôpital's Rule Examples; and Intro to Linear Approximation
Math 1203-L01 Lecture 6 - Continuity