How Does an Abacus Calculate Numbers? The Wooden Frame That Changed Math (1203)
Q 1203 5. Three charges of respective values 2µC. 2/2 µC and 2 µC are arranged along a straight lin
Math 1203-R04 Lecture 0 - Class Intro
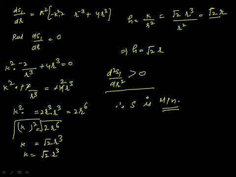
Math 1203-R03 Lecture 10 - Properties of derivatives and what they mean for a function
Math 1203-L01 Lecture 3 - Average rate of change; What is Calculus; and Intro to Limits
ERO CALCULATOR (STQM1203-MATHS FOR IT)
1203 What's a Geometric Series? (TI84C)
Excel Magic Trick 1203: 2 Slicers Control 4 PivotTables: Sum, Running Total, Change and % Change
Math 1203-R04 Lecture 4 - Average Rate of Change, and What is Calculus?
Math 1203-R04 Lecture 10 - Properties of derivatives and what they mean for a function
Find the sum of all positive integers n, satisfying root of the sum of n^2 and 1203 is an integer.
STQM1203-Mathematics for IT(A) - [Elementary Vector Analysis(Subtopics:Dot Product & Cross Product)]
1203. Addition of Rational numbers with equal and unequal denominators
Maths lech 1203 part1For/NTSE/NVS/KVPY/JEE/NEET
Linear Algebra Practice Quiz1(MariyaS) 1.1 - 1.5
1203 Searching for a College
Excel - VLOOKUP to Match Two Values - Concatenated Keys - Episode 1203
Math 1203-R03 Lecture 21 - Attacking the area problem - Integrals, Antiderivatives, and the FTC
Linear Algebra 1.2PartB
Linear Algebra 1.9PartB (Balancing Equation)
Linear Algebra 1.4PartA
pH, pOH, H3O+, OH-, Kw, Ka, Kb, pKa, and pKb Basic Calculations -Acids and Bases Chemistry Problems
Linear Algebra 2.1PartB
How to check fault is battery or UPS ? Ups battery full problem checking at home only one trick
Linear Algebra 1.3PartA