Concrete Construction 3, Lecture 15 - Bracing
Deformation calculation – Rep. Solid construction 3 (Exam Winter Semester 14/15, problems 9.d and e)
Massivbau 3 – Beispiel 13 Aussteifung
Crack width limitation – Rep. Solid construction 3 (Exam Winter Semester 15/16 Question 9.4 (1))
Massivbau 3 – Beispiel 9 Bemessung eines deckengleichen Unterzuges
Massivbau 2, Vorlesung 3, Biegebemessung an Innenauflagern
Solid Construction 3 - Example 3 Minimum Reinforcement Bending Restraint (Part 1)
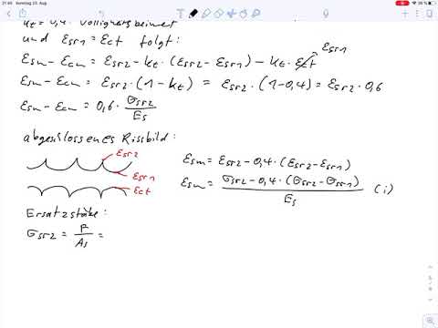
Verformungsberechnung – Rep. Massivbau 3 (Klausur SoSe 15 Aufg. 9)
Massivbau 3, Vorlesung 7, Begrenzung der Spannungen
Wandbemessung – Rep. Massivbau 3 (Klausur SoSe 15 Aufg. 8)
Rissbreitenbeschränkung – Rep. Massivbau 3 (Klausur WiSe 15/16 Aufg. 9.2 bis 9.3)
Massivbau 2, Übung 3, Teil 3
Massivbau 3 – Beispiel 9 Bemessung eines deckengleichen Unterzuges (alt)
Massivbau 3 - Beispiel 1 Rissbreiten (Teil3)
Massivbau 3 – Beispiel 7 Bemessung einer Wand
Rissbreitenbeschränkung – Rep. Massivbau 3 (Klausur WiSe 15/16 Aufg. 9.1)
Massivbau 3 – Beispiel 11 Torsionsbemessung
Solid Construction 3, Lecture 6, Restraint forces in walls on pre-existing foundations
Massivbaukonstruktionen, Vorlesung 3 - Wiederholung Querkraft, Verankerung, Anschluss Druckgurt
Rissbreitenbeschränkung – Rep. Massivbau 3 (Klausur WiSe 15/16 Aufg. 9.4 (2))