Concrete Structures 1, Lecture 20 - Compression Flange Connection
Concrete Construction 2, Lecture 20
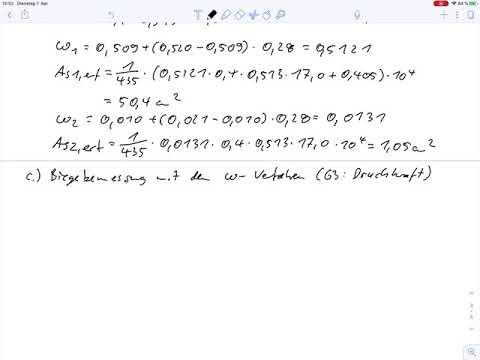
Aufg. 3 – Biegebemessung und Anschluss Druckgurt Plattenbalken (Klausur WiSe 20/21)
Aufg. 1 – Rissbreitenbeschränkung Stahlbetonplattenbalken (Klausur WiSe 20/21)
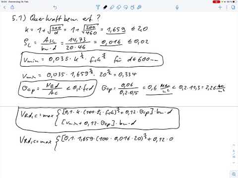
Aufg. 5 – Querkraftbemessung (Klausur WiSe 20/21)
Massivbau 1, Vorlesung 10, Querkrafttragfähigkeit ohne Querkraftbewehrung
Massivbaukonstruktionen, Beispiel Schnittgrößenumlagerung infolge von Kriechen 1
Massivbau 1, Vorlesung 13 - Verankerungslängen
Aufg. 3 – Durchstanzbemessung Fundament (Klausur WiSe 20/21)
Concrete Construction 1, Lecture 11, Shear Capacity with Shear Reinforcement
Concrete Structure 1 - Example 4 Bending Design with Normal Force and Compressive Reinforcement (...
Solid construction 1 - Example 1 Tension bar
Massivbau-mbinar 2020 - Gebäude-Aussteifung – Gegenüberstellung "Klassische" und "FE-Lastverteilung"
Massivbaukonstruktionen, Vorlesung 5 - Wiederholung Durchstanzen
Aufg. 1 – Ermittlung der Mindestbewehrung Plattenbalken (Klausur WiSe 20/21)
Massivbau 2, Vorlesung 2, Einachsige Platten - Konstruktive Durchbildung, Öffnungen, Einzellasten
Aufg. 2 – Ermittlung des Verlegemaßes cv,l (Klausur WiSe 20/21)
Massivbau 1 - Beispiel 4 Biegebemessung mit Normalkraft und Druckbewehrung (Teil 3)
Concrete Structure 1 - Example 2 Bending Design (Part 1)
Stützenbemessung Modellstützenverfahren – Rep. Massivbau 2