ME/EMA 540 - Mod 01a - Introduction
ME/EMA 540 - Module 6 - Operational Modal Analysis (OMA)
ME/EMA 540 - Module06c - Support Conditions for Modal Test
ME/EMA 540 Lab01 - Demo
ME/EMA 540 OMA Project Test Plan
ME/EMA 540 Module 3c LoadUFF Matlab Demo
ME/EMA 540 Module 02c Damping & Uncoupled EOM
ME/EMA 540 - Module 03a - Introduction to Ritz Series
ME/EMA 540 - Module 04e - Intro to the Finite Element Method
ME/EMA 540 - Extra - Numerical Integration Part 2
ME/EMA 540 - Module 02b - Vibration Measurement Devices
ME/EMA 540 Mod01b SDOF Free Response
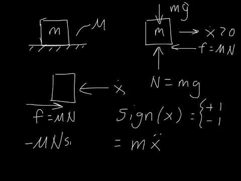
ME/EMA 540 - Mod07 - Introduction to Nonlinear Vibration and Associated Experimental Methods
ME EMA 540 - Module 03d - FFT Example Problem
ME/EMA 540 - Module 03f - Frequency Response Function (FRF) Estimation
ME/EMA 540 - Module 03e - FFT Topics: Leakage, Aliasing and Transient Response
ME/EMA 540 - Module 03b - Ritz Series Matlab Example
ME/EMA 540 Mod03a - SDOF Forced Steady-State Response
Demo of B&K Pulse Labshop for ME/EMA 540, UW-Madison
ME/EMA 540 - Module 02a Multi-Degree-of-Freedom (MDOF) Systems and the Eigenvalue Problem
ME/EMA 540 Module 03b Steady-State Response of Multi-Degree-of-Freedom Systems
ME EMA 540 - Module 03c Intro to Experimental Modal Analysis, SIMO, MISO and MIMO Tests
EMA 540 - Extra - Numerical Integration Part 1
Salok Mahalla 9 ( Nauvan ) | ਸਲੋਕ ਮਹਲਾ ੯ | Read Along In Punjabi Hindi English | Amritt Saagar
Burn 500 Calories: Intense 50 Mins Full Body FAT BURNING Workout | Zumba Class