Linear Approximation, Differentials, Tangent Line, Linearization, f(x), dy, dx - Calculus
Learn Linear Approximation In 5 Minutes
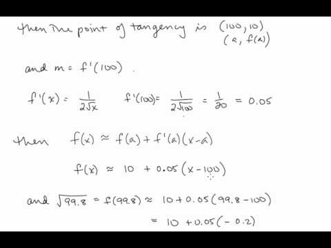
Finding The Linearization of a Function Using Tangent Line Approximations
How to find the TANGENT PLANE | Linear approximation of multi-variable functions
Differentials, Linearization, Approximation, and % Error
15 4 Tangent lines and linear approximations
Differentials and Derivatives - Local Linearization
3.10 Linear Approximation: Calculus I
14.4 Tangent plane, linear approximation | Anas Abu Zahra
4_6 Linear Approximation and Differentials
CALCULUS: LINEAR APPROXIMATION & DIFFERENTIALS
Concept behind tagent line approximations (linearization)
Linear Approximation and Differentials.
Find the Linear Approximation to the Multivariable Function Using the Tangent Plane and Estimate
Linear Approximation and Differentials in Calculus | Tangent Line Approximations
Calc I Lesson 15 Linear Approximations and Differentials
Calculus 1: Linear Approximations and Differentials (Video #18) | Math with Professor V
Chapter 3.10 - Linear Approximations and Differentials
Calculus 1 | Linear Approximations and Differentials
Linear Approximation (Tangent Line Approximation)