Limite Intr-un Punct
Limit of a function at a point (11th grade)
Limite de funcții. Limita unei funcții într-un punct - Clasa a XI-a
Limite de funcții: introducere, limita unei funcții într-un punct, limite laterale - Clasa a XI-a
Ce înseamnă calculul limitei într-un punct ?
Limite de functii, limite remarcabile - Clasa a XI-a
2/2 Lesson 670 - What is the limit of a function at a point? Calculating the limits of functions ...
1/2 Lesson 670 - What is the limit of a function at a point? Calculating the limits of functions ...
Limita unei functii intr-un punct
Limits of elementary functions | Lectii-Virtuale.ro
02 cls11 Limite de functii limita unei functii intr un punct aplicatii partea 1
01 cls11 Limite de functii limita unei functii intr un punct definitii - profesorultau.ro
Lectia 674 - Despre notiunea de functie | Limita unei functii intr-un punct - Clasa 11
Limita unei funcţii într-un punct
03 cls11 Limite de functii limita unei functii intr un punct aplicatii partea 2
Existența limitei unei funcții într-un punct
22 cls11 Limite de functii functii continue intr un punct aplicatii - profesorultau.ro
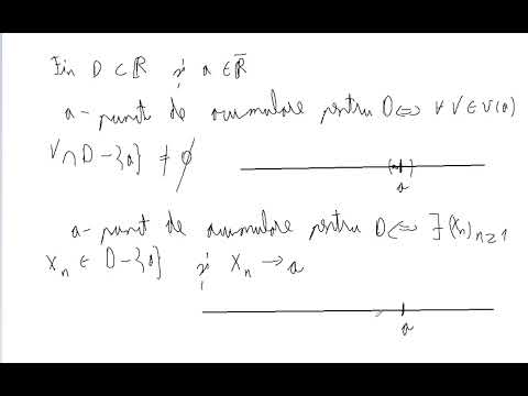
33 Limite de functii intervale si vecinatati partea 2 - profesorultau.ro
Funcții. Definiția derivatei unei funcții într-un punct - Clasa a XI-a
Limita unei functii intr-un punct clasa a XI a ( www.supermeditatii.ro)