Lectia 483 - Probleme de geometrie plana rezolvate cu ajutorul geometriei analitice - Tema Clasa 10
485.Din nou sirop.
Clip prezentare La pastravarie
Curs Complet de Aplicare a Cauciucului Lichid - Lectia 1
Cap.37.8 -clasa a XI a- Siruri care au limita finita
Giulio ANDREOTTI: l'ombra della Prima Repubblica
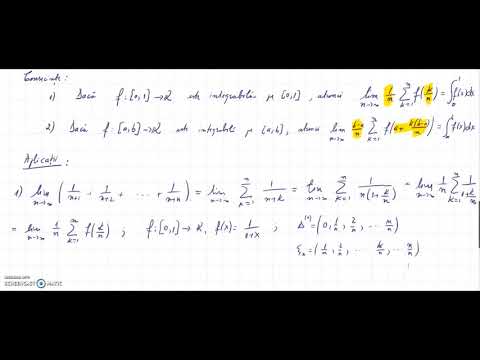
Limite de șiruri cu sume Riemann
Webinar APLITOP & CADWARE Engineering: Descoperiti aplicatia de topografie TcpMDT
1/2 Lectia 480 - Inecuatii logaritmice Limite de functii Derivate explicate CLAR - Clasa 10
Rezolvare geometrică, analitică și trigonometrică !
TESTE DE ANTRENAMENT, BACALAUREAT, SUBIECTUL III 1- LIMITE DE ȘIRURI
1/2 Lectia 484 - Unitati de masura pt. Timp Lungime Greutate cu multipli si sbmultipli - Clasa 4
1/2 Lectia 486 - Functii - Functii elementare - Directe si Inverse - Limite de functii - Clasa 10
2/2 Lectia 480 - Inecuatii logaritmice Limite de functii Derivate explicate CLAR - Clasa 10
2/2 Lectia 486 - Functii - Functii elementare - Directe si Inverse - Limite de functii - Clasa 10
Două sume. Folosirea simbolului și un truc de calcul.
2/2 Lectia 484 - Unitati de masura pt. Timp Lungime Greutate cu multipli si sbmultipli - Clasa 4
Problema 483: 10 Limite de șiruri #profuldemate2020 #Bacalaureat #limite #șiruri #limita #sir #mate
1/2 Lectia 482 - Ortoncentrul triunghiului - Probleme de geometrie - Tema la matematica - Clasa 6
2/2 Lectia 694 - Probleme Paralelogram Romb Patrat Dreptunghi Concurenta inaltimilor - Tema Clasa 7