Lectia 1154 - Proprietatile radicalilor Radicali compusi Compararea a 2 numere reale - Tema Clasa 8
Patrate perfecte si radicalul. Numere reale
Proprietati radicali_inmultirea si impartirea radicalilor _ Algebra cls. a 10a
Crni je ipak upao u zamku ● PASCHMANN vs KURSCHAT ● Blackmar-Diemer Gambit # 1548
Simplifying A Radical Expression
Lectia 1153 - Tetraedru Paralelism in spatiu Th. Thales si reciproca ei Th. Pitagora - Clasa 8
operatii radicali exemple - profesorultau.ro
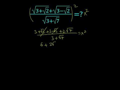
Exercițiu: Radicali compusi
1/3 Lectia 753 - Operatii in multimea numerelor reale Scoaterea de sub radical Modulul - Clasa 7
Applications of abbreviated calculus formulas and the formula of compound radicals, part I (9th g...
2/3 Lectia 753 - Operatii in multimea numerelor reale Scoaterea de sub radical Modulul - Clasa 7
1/2 Lectia 887 Formule calcul prescurtat Transformarea radicalilor compusi in radicali simpli Cls 7
Miracolul celulei
Lectia II: Introducerea si scoaterea factorilor de sub radical
2/3 1768 Clasa 7 Introducerea/Scoaterea numar de sub radical Radicali asemenea Operatii cu radicali
Radicali compusi
1/3 Lesson 1450 Review: Compound Radicals Sums Abbreviated Calculation Formulas Module - Grade 8
2013 Florencia y Ricardo Bellozo, Me llaman el zorro, MOV02778
3/3 1768 Clasa 7 Introducerea/Scoaterea numar de sub radical Radicali asemenea Operatii cu radicali
5 L8 radicali