Lectia 1141 - Ecuatii exponentiale Ecuatii cu modul Ecuatii irationale Operatii cu Puteri - Clasa 12
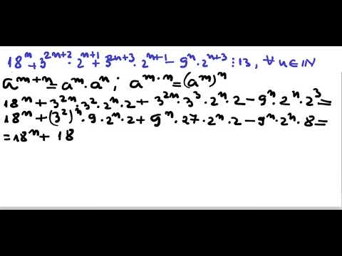
2/2 Lectia 1228 Criterii divizibilitate Puteri Multimi Teorema impartirii rest Calcul sume - Clasa 5
1/2 Lectia 1228 Criterii divizibilitate Puteri Multimi Teorema impartirii rest Calcul sume - Clasa 5