Kvbs x Sqty - Spadam! (Prod. Lucky)
Kvbs Ft. Sqty - Buja Po Melinach 💥
Kvbs x Capis - sonic
Sqty & Lemonn - Ghetto (prod. PKZ x Zedd x Svpra x Off&Out)
If `int(2^(x))/(sqrt(1-4^(x)))dx=k.sin^(-1)(2^(x))+c`, then : `k=`
Kvbs x Young Alay - nie daj się ukąsić.
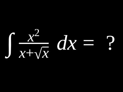
Integral of x^2/(x+sqrt(x))
यदि x = 3 + 2sqrt(2) है (sqrt(x) - 1/(sqrt(x))) (sqrt(x) - 1/(sqrt(x))) का मान ज्ञात कीजिए
Simplifying Radicals: Special Case Products | Radical Expressions | Animated Worksheet & Solutions
Derivative of tan inverse (cos square root x)।
`y=sqrt(x+sqrt(x+sqrt(x+....+oo)))`. Find `dy/dx`
If sqrt(2)^x = 256, then the value of xx is | CLASS 14 | Practice Set 7 | MATHS | Doubtnut
Square Roots of Fractions: sqrt(27/81)
Area under the curve `y = x sin x^(2)`, bounded by the lines x = 0 and `x= sqrt(pi//2)` is
Evaluate `lim_(xto oo)sqrt((x-sinx)/(x+cos^(2)x))`
Simplify : `(x + sqrt(x^(2) - 1))/(x - sqrt(x^(2) -1)) + (x - sqrt(x^(2) -1))/(x + sqrt(x^(2) -1))`
Cos4x = Cos2x find x
Prove that the roots of the equation `bx^2+(b-c)x+(b-c-a)=0` are real if those of `ax^2+2bx+2b=...
Find the domain and range of the following function f(x)=sqrt(16-x^2) | CLASS 12 | FUNCTION | MA...
if 9 root X = root 12 + root 147 then X equal
HINDI Find Square Root Percent BANK CTET KVS DSSSB ALP Short Tricks
If the line `y-sqrt3x+3=0` cuts the parabola `y^2=x+2` at `P` and `Q` then `AP.AQ` is equal to
Range of a.Sinx+b.Cosx l -sqrt(a²+b²) a.Sinx+b.Cosx sqrt(a²+b²) l TRIGONOMETRY HOTS
Angle between the pair of straight lines.KVS PGT MATH 2017.
Square Roots and Simplify