JAMB Mathematics 2026 EP 8 - Logarithms + Likely Exam Questions & Solutions
ELEVATIONS AND DEPRESSIONS MATHEMATICS 2026 JAMB WAEC TUTORIAL CLASS YOUR STUDY PATH
How to JAM JAMB 2026 EP 8 - How to Make the Most Effective JAMB Study Timetable That Works
Junior Waec Mathematics Questions & Answers | Episode 8
JAMB Mathematics 2026 EP 6 - Profit & Loss Calculations, Past questions & Solutions
JAMB 2024 POSSIBLE QUESTIONS IN MATHEMATICS| PAST QUESTIONS & ANSWERS
JAMB Mathematics 2026 (Episode 1) - Number Bases + Past Questions/Solutions
JAMB Mathematics 2026 Ep 5 - [Simple & Compound Interest, Repayment] + Past Questions & Solutions
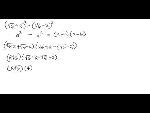
JAMB MATHEMATICS 2012 NO 8 : SURDS
Young lady absolutely kills it in Nigerian Maths Competition!
JAMB 2011 MATHEMATICS PAST QUESTION 8 Rationalization of Surd
How to become a Math Genius.✔️ How do genius people See a math problem! by mathOgenius
Obasanjo At 85: Former President Participates In Novelty Match
JAMB Mathematics Syllabus 2025 & Areas of Concentration
BIOLOGY CELL STRUCTURE
Top 8 Math Formula to Master for Jamb 2020 UTME CBT Examination
JAMB Mathematics 2026 EP 7 - Indices + Likely Exam Questions & Solutions
JAMB/WAEC Chemistry 2026 EP 8 - Valency + Likely Exam Questions & Solutions
JAMB Literature 2026 EP 8 - Figures of Speech + Likely Exam Questions (Part A)
Velocity time graph
JAMB (UTME) 2024 - Everything You Need To Know Before, during & After The Exam
'I Studied 6 Hours Everyday' – Kamsiyochukwu Umeh
JAMB Mathematics 2026 EP 18 - Variation [Direct, Partial, Joint] + Likely Exam Questions & Solutions
INDICES | ALL 7 LAWS OF INDICES (Complete mathematics tutorial) #excellenceacademy #jonahemmanuel
JAMB UTME 2021 MATHEMATICS Exam