Flächenintegral Gegenüberstellung kartesisch und polar - einfache Erklärung Mehrfachintegrale
A4 – Integration – Fläche in Polarkoordinaten (Klausur SoSe 2020)
A6 – Triple Integral – Volume Calculation (Exam Summer Semester 2020)
Mathematik 2 (lecture 18A) - Gebietsintegrale in Polarkoordinaten
Mehrdimensionale Integration | Bedeutung + Anwendung
vektorielles Oberflächenintegral Beispiel
Doppelintegral - einfach und nachvollziehbar erklärt!
Übungsblatt8 Aufgabe f.1 – Doppelintegral Polarkoordinaten
Integration in krummlinigen Koordinaten 6 - Beispiel: Volumenelement in Polarkoordinaten
Livestream: Gebietsintegrale (Polarkoordinaten, kartesische Koordinaten + Integrationsreihenfolge)
Doppelintegral - Flächenträgheitsmoment (Polar) – Aufgabe 29 – Rep. Mathematik 2
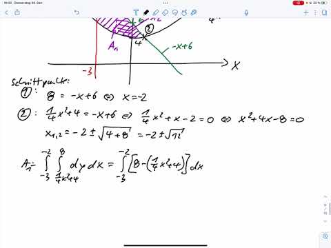
A7 – Doppelintegral – Flächenberechnung (Klausur WiSe 21/22)
Mehrfachintegral kartesisch und polar - Fläche zwischen zwei Graphen - Klausuraufgabe erklärt
Analysis Aufg. 17.16 Doppelintegral mit Polarkoordinaten-Transformation
Alles was du zu POLARKOORDINATEN wissen musst
Doppelintegral mittels Polarkoordinatentransformation auswerten
Wie berechne ich Kartesische und polare Koordinaten? | Orthogonales Koordinatensystem | Polarwinkel
Integration in krummlinigen Koordinaten 7 - Beispiel: Kreisfläche
0294 Doppelintegral: Integrationsbereich kein Rechteck, Beispiele
Polarkoordinaten 1 - Definition