Clipson
  • Топ 50 исполнителей
  • Популярные клипы
  • Случайный клип
  • Минусовки онлайн

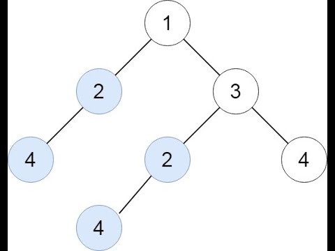
Скачать клипы Find Duplicate Subtrees ↓

Find Duplicate Subtrees - Leetcode 652 - Python

Find Duplicate Subtrees - Leetcode 652 - Python

[Java] Leetcode 652. Find Duplicate Subtrees [Binary Tree #10]

[Java] Leetcode 652. Find Duplicate Subtrees [Binary Tree #10]

Find Duplicate Subtrees (Leetcode - 652) - (GOOGLE) : Explanation ➕ Live Coding

Find Duplicate Subtrees (Leetcode - 652) - (GOOGLE) : Explanation ➕ Live Coding

Find Duplicate Subtrees (Medium) | Tree | Top 52 Uber LeetCode Premium Coding Questions

Find Duplicate Subtrees (Medium) | Tree | Top 52 Uber LeetCode Premium Coding Questions

FIND DUPLICATE SUBTREES | LEETCODE # 652 | PYTHON DFS SOLUTION

FIND DUPLICATE SUBTREES | LEETCODE # 652 | PYTHON DFS SOLUTION

Find Duplicate Subtrees | Leetcode 652 | Binary Trees

Find Duplicate Subtrees | Leetcode 652 | Binary Trees

652. Find Duplicate Subtrees - JAVA (DFS + HashMap - Detailed explanation + Coding)

652. Find Duplicate Subtrees - JAVA (DFS + HashMap - Detailed explanation + Coding)

Find Duplicate Subtrees

Find Duplicate Subtrees

GFG POTD: 12/10/2023 | Duplicate Subtree in Binary Tree | Problem of the Day GeeksforGeeks

GFG POTD: 12/10/2023 | Duplicate Subtree in Binary Tree | Problem of the Day GeeksforGeeks

Find Duplicate Subtrees || Hashing Nuances

Find Duplicate Subtrees || Hashing Nuances

Daily Leetcode #1064: Feb 28, 2023 - 652. Find Duplicate Subtrees

Daily Leetcode #1064: Feb 28, 2023 - 652. Find Duplicate Subtrees

652. Find Duplicate Subtrees  #liveWhenSolvingFirstTime #dailyChallenge

652. Find Duplicate Subtrees #liveWhenSolvingFirstTime #dailyChallenge

Leetcode 652. Find Duplicate Subtrees

Leetcode 652. Find Duplicate Subtrees

Leetcode 652. Find Duplicate Subtrees

Leetcode 652. Find Duplicate Subtrees

LeetCode - Medium - Find Duplicate Subtrees - v2

LeetCode - Medium - Find Duplicate Subtrees - v2

LeetCode 652 | Find Duplicate Subtrees | Python Solution Explained | AlgoYogi

LeetCode 652 | Find Duplicate Subtrees | Python Solution Explained | AlgoYogi

652. Find Duplicate Subtrees | LeetCode Medium | LeetCode Problem of the Day | LeetCode POTD

652. Find Duplicate Subtrees | LeetCode Medium | LeetCode Problem of the Day | LeetCode POTD

GOOGLE Coding Interview Question - Find Duplicate Subtrees | LeetCode

GOOGLE Coding Interview Question - Find Duplicate Subtrees | LeetCode

find duplicate subtrees

find duplicate subtrees

【每日一题】652. Find Duplicate Subtrees, 8/1/2021

【每日一题】652. Find Duplicate Subtrees, 8/1/2021

  • Загрузить больше

Скачать клипы Find Duplicate Subtrees бесплатно и без регистрации

Clipson.ru - Скачать клипы бесплатно © 2026

Обратная связь: olegvostrilov[dog]gmail.com