Calcul algebric
exercitii rezolvate calcul algebric - profesorultau.ro
11 cls7 Calcul algebric descompunerea in factori exercitii partea 1
OPERATIONS WITH NUMBERS REPRESENTED BY LETTERS ALGEBRAIC CALCULATION IN R 8TH GRADE SOLVED EXERCI...
14 cls7 Calcul algebric descompunerea in factori exercitii partea 4
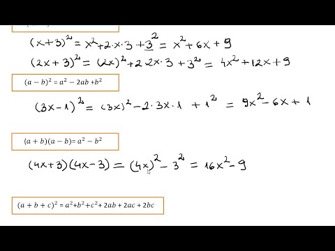
Formule de calcul prescurtat
probleme rezolvate calcul algebric - profesorultau.ro
Abbreviated calculation formulas algebraic calculation in r exercises 8th grade mathematics expre...
FORMULE DE CALCUL PRESCURTAT CLASA A 8 A MATEMATICA a+b la puterea 2 a+ba b EXERCITII REZOLVATE
algebraic calculation formulas solved exercises - profesorultau.ro
06 cls7 Calcul algebric formule de calcul prescurtat exercitii partea 1
12 cls7 Calcul algebric descompunerea in factori exercitii partea 2
Exercitii rezolvate - Expresii algebrice, clasa a VIII-a
Algebraic expressions, 8th grade (Solved exercise)
Formule de calcul prescurtat - exercitii rezolvate
04 cls8 Calcul algebric in R formule de calcul prescurtat aplicatii partea 3
10 cls7 Calcul algebric formule de calcul prescurtat exercitii partea 5
Calculul unor integrale, exercitii rezolvate (lic_integraladefinita6)
Expresii algebrice - exercitii rezolvate (Clasa a VIII-a)
calcul algebric aplicatii rezolvate - profesorultau.ro