Rapoarte si Proportii - Exercitii Rezolvate
Logarithms 10th grade Solved exercises Properties Formulas logarithms bac (Learn Mathematics Easily)
MARIMI DIRECT PROPORTIONALE MATEMATICA CLASA 6 EXERCITII REZOLVATE RAPOARTE PROPORTII ALGEBRA k
exercitii rezolvate probabilitati - profesorultau.ro
Functii Marginite - Exercitii Rezolvate
Divisibility: Solved exercises Grade 5 #divisibilityclass5
Analiza matematica, exercitii rezolvate (lic_integrala_definita5)
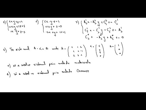
Matrici. Operatii - Exercitii rezolvate (clasa a XI-a)
PREGATIRE BAC SUBIECTUL II LEGI DE COMPOZIȚIE POLINOAME EXERCITII REZOLVATE RELATIILE LUI VIETE M2
Exercitii rezolvate, asimptotele graficului unei functii (lic_asimptote7)
Rapoarte | Proportii | Exercitii Rezolvate | Clasa a8a
Asimptote verticale oblice orizontale infinit exercitii rezolvate clasa 11(Invata Matematica Usor)
Ecuatii in Z, Partea 3 - Exercitii rezolvate (Clasa a VI-a)
IX. Progresii aritmetice (2) - exercitii rezolvate | Matera.ro
X. Logarithms - properties, solved exercises | Matera.ro
Grade 12 - Integrals - Solved exercises
GAUSS'S SUM 5TH GRADE SOLVED EXERCISES SUM WITH EVEN ODD NUMBERS IN STEPS OF 2 IN 2 3 IN 3
Functii Continue. Exercitii rezolvate.
Sisteme Cramer | Exercitii Rezolvate
Indefinite integrals exercises formulas grade 12 (Learn Mathematics Easy-Online Meditations-Bac)