Etablir le tableau de variation avec une fonction exponentielle - 1ère & Terminal - Spé maths
STUDY OF VARIATION WITH EXPONENTIAL - Solved Exercise - First Year
TABLEAU de VARIATION avec fonction EXPONENTIELLE - Exercice Corrigé - Terminale
[exercice E3C] Faire un tableau de variation avec l'exponentielle - Spé maths - Première
TABLEAU de VARIATION avec les QUOTIENTS - Exercice Corrigé - Terminale
Premiere Spé maths et Term -exponentielle- variations d'une fonction avec produit (3x-4)exp(2x+5)
Mathématiques - Terminale L / S / ES - tableau de variations - expression avec exponentielle
Déterminer les variations d'une fonction exponentielle - 1ère & Terminal - Spé maths
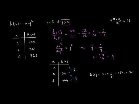
Fonction exponentielle et tableau de valeurs
VARIATION TABLE with POWERS - Corrected Exercise - Terminale
Comment déterminer le signe d'une expression avec de l'exponentielle ?
TABLE of VARIATION of ln(x) - Corrected Exercise - Terminale
Étude d'une fonction exponentielle
Tracer une courbe à partir du tableau de variations - Terminale
BTS MSSP, CCF, étude de fonction avec Xcas
Studying the variations of a function - First
1G : Fonction exponentielle (sens de variation et dérivée)
LIMITE avec les TABLEAUX de VARIATIONS - Exercice Corrigé - Terminale
Comprendre SIGNE DE LA DÉRIVÉE ↔︎ VARIATIONS - Première
geogebra fonction exponentielle