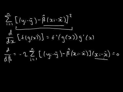
Deriving the OLS Estimators in Simple Linear Regression Model - Part 1
Deriving the least squares estimators of the slope and intercept (simple linear regression)
Deriving the OLS Estimators in Simple Linear Regression Model - Part 2
Simple Linear Regression Derivation of OLS Estimators
ECO375F - 1.0 - Derivation of the OLS Estimator
How to Derive the Best Slope and Intercept in a Simple Linear Regression
Find the Value of OLS estimators Linear Regression Model | Mathematical Economics | Ecoholics
Deriving the mean and variance of the least squares slope estimator in simple linear regression
Econometric Theory: Simple OLS Derivation
Regression Fundamentals & OLS Estimation | Simple Linear Model, Derivation & EViews Demo
ECO375F - Exam Solution 2014 Mideterm - Question 1 (OLSE)
Econometrics // Lecture 3: OLS and Goodness-Of-Fit (R-Squared)
Video 1: Introduction to Simple Linear Regression
Derivation of OLS estimators in simple linear regression
Assumptions of simple linear regression model & properties of OLS estimator |Lecture - 3| B.Sc., ISS
Least Square Estimators - Explaining and deriving
Deriving the OLS. Ordinary Least Squares. #economics #econometrics #economist
Deriving OLS Slope and Intercept Formulas for Simple Regression
#2 Advanced Econometrics : Simple Linear Regression & Proof of OLS estimators
Deriving Least Squares Estimators - part 1
Econometrics // Lecture 2: "Simple Linear Regression" (SLR)
Derivation of Intercept's Estimator using OLS Method (Simple Linear Regression)
Econometrics L7 Derivation of OLS Estimators
HOW TO DERIVE NORMAL EQUATION OF REGRESSION ANALYSIS
Least Square Estimators - Variance of Estimators, b0 and b1, Proof