concentratia unei solutii scara probleme rezolvate - profesorultau.ro
Concentratia unei solutii - Rapoarte utilizate in practica - Clasa a VI-a
Rapoarte-Titlul unui aliaj, concentrația unei soluții, scara unei hărți
concentratia procentuala probleme rezolvate
Teorie: Concentratia unei solutii. Cum se calculează concentrația unei soluții?
Molar, normal, mass concentrations
Clasa a VI-a - Rapoarte şi proporţii - Concentratia unei solutii - TEORIE + pb 1
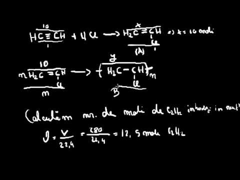
Model BAC Chimie Organica 2016- Subiectul III G1
Kit nr.2 - Solutii.Concentratie in procente de masa
Rezolvarea problemelor la chimie Part 1
Rezolvarea problemelor la chimie Part 6
Scara unei harti
Am uitat sa imi fac tema la chimie si am mintot in legatura cu asta
Calculating the concentration of the resulting salt solution - Problem solved
Concentratia procentuala Aplicatii | Lectii-Virtuale.ro
CHIMIE Clasa 7 - EP.5 - CONCENTRATIA PROCENTUALA MASICA A SOLUTIILOR - #StiintaAltfel
Rezolvarea problemelor la chimie Part 2
201 1 Masa molara Numarul lui Avogadro #2
solved problems with percentages - profesorultau.ro
titlul unui aliaj probabilitati probleme rezolvate - profesorultau.ro
Concentratia molara Aplicatii | Lectii-Virtuale.ro
Cum se calculează dilutia!
Rezolvarea problemelor la chimie Part 4
Probleme pentru chimistul din tine #6
Chimie-2