Calculer l'espérance pour une loi binomiale - Terminale
Comment calculer l'espérance d'une variable aléatoire qui suit une loi binomiale ?
EXERCISE: Calculate the expectation, variance and standard deviation for a binomial distribution ...
Calculer une espérance - Première
Binomial law • understanding the formula for expectation • variance • standard deviation • first S
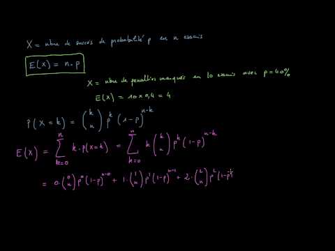
DEMONSTRATION : Loi binomiale : Formules espérance et variance - Terminale
Calculate the variance and standard deviation for a binomial distribution - Terminale
Comment calculer l'espérance, la variance et l'écart type d'une loi binomiale ?
Calculer espérance, variance et écart-type d'une variable aléatoire moyenne - Terminale
Expected value of a binomial distribution - Solved exercise - Final year
COMMENT CALCULER L'ESPÉRANCE DE LA LOI BINOMIALE
Mémo - La loi binomiale
Loi binomiale : espérance, variance et écart type
Binomial law • Concrete application: Calculation of a fine • expectation • first S
BINOMIAL - THE CLASSIC TO MASTER - Term Spé
Espérance, variance et écart-type pour une loi binomiale
Loi binomiale : espérance, variance, écart type - Maths Terminale
LE COURS : Loi binomiale - Terminale
Espérance mathématique dans le cas de la loi binomiale
Exercice complet pour réviser Loi Binomiale • espérance • probabilité • Calculatrice Première S ES