Plattenbalken Biegebemessung – Rep. Massivbau 1 (Klausur SoSe 13 Aufg. 10.1)
Aufg. 12 (Teil 1) – Plattenbalken Nulllinie in der Platte Biegebemessung (Klausur SoSe 2020)
Massivbau 1 – Beispiel 10 Biegebemessung Plattenbalken mit Nulllinie im Steg (schlank)
Bemessung eines Durchlaufträgers (Plattenbalken) – Rep. Massivbau 2
Aufg. 5 Plattenbalken Biegebemessung Nulllinie im Steg (Klausur SoSe 2021)
Massivbau 1, Vorlesung 17 - Bemessung Plattenbalken 1
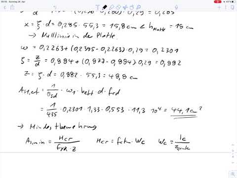
Massivbau 1 – Beispiel 9 Biegebemessung Plattenbalken mit Nulllinie in der Platte (Teil 1)
Design of T-beams – Bending, Shear Force, Torsion – Rep. Reinforced Concrete Structures 3 (Exam S...
Aufg. 12 Plattenbalken Biegebemessung Anschluss Druckgurt (Klausur WiSe 21/22)
Bemessung eines Durchlaufträgers (Plattenbalken) – Rep. Massivbau 2 (Aufg6 WiSe14/15 und Aufg8)
Massivbau 1, Vorlesung 19 - Bemessung Plattenbalken 3
Bemessung eines Durchlaufträgers (Plattenbalken) – Rep. Massivbau 2 (Aufg8 SoSe12)
Plattenbalken mit Nulllinie im Steg Biegebemessung – Rep. Massivbau 1 (Klausur SoSe 18 Aufg. 12)
Aufg. 16 Biegebemessung Plattenbalken mit Nulllinie im Steg (Klausur SoSe 2023)
Massivbau 3 – Beispiel 9 Bemessung eines deckengleichen Unterzuges
Solid construction, Lecture 2 - Review of bending design of T-beam cross-sections
Massivbau 1 – Beispiel 11 Biegebemessung Plattenbalken mit Nulllinie im Steg (gedrungen)
Aufg. 12 (Teil 3) – Plattenbalken Nulllinie in der Platte Querkraftbemessung (Klausur SoSe 2020)
Plattenbalken mit Nulllinie im Steg Biegebemessung – Rep. Massivbau 1 (Klausur WiSe 13/14 Aufg. 11)
Problem 14 Bending design of T-beams and connection of the compression flange (Exam Summer Semest...
SOFiSTiK Quicktipp - Reduziertes Eigengewicht bei Plattenbalken
Task 4: Plate beam connection compression flange and shear force design (Exam Summer Semester 2021)
Massivbau 1 – Beispiel 9 Biegebemessung Plattenbalken mit Nulllinie in der Platte (Teil 2)
Massivbau 3 – Beispiel 7 Bemessung einer Wand
Solid Construction 1, Lecture 18 - Design of Slab Beams 2