Clipson
  • Топ 50 исполнителей
  • Популярные клипы
  • Случайный клип
  • Минусовки онлайн

Скачать клипы BSM D2 ↓

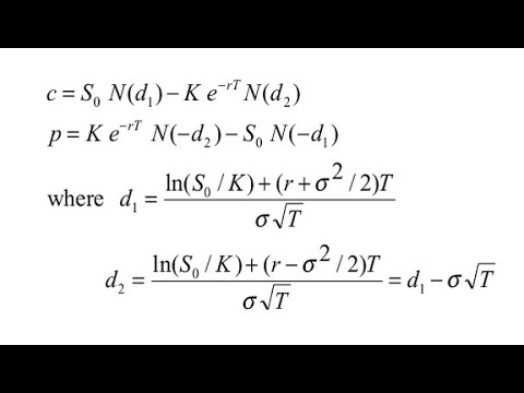
Introduction to the Black-Scholes formula | Finance & Capital Markets | Khan Academy

Introduction to the Black-Scholes formula | Finance & Capital Markets | Khan Academy

How to interpret N(d1) and N(d2) in Black Scholes Merton (FRM T4-12)

How to interpret N(d1) and N(d2) in Black Scholes Merton (FRM T4-12)

Black Scholes Explained - A Mathematical Breakdown

Black Scholes Explained - A Mathematical Breakdown

Black Scholes Model INTUITIVELY Explained for Option Traders

Black Scholes Model INTUITIVELY Explained for Option Traders

Black Scholes Formula explained simply

Black Scholes Formula explained simply

N(d1)and N(d2) in Black Scholes formula

N(d1)and N(d2) in Black Scholes formula

Black Scholes Formula I

Black Scholes Formula I

A Relation between d 1 and d 2 in Black Scholes

A Relation between d 1 and d 2 in Black Scholes

FRM: How d2 in Black-Scholes becomes PD in Merton model

FRM: How d2 in Black-Scholes becomes PD in Merton model

Black and Scholes Model 1: Finding N (d1) and N (d2)

Black and Scholes Model 1: Finding N (d1) and N (d2)

BSM-D2 Soumahoro Mohamed

BSM-D2 Soumahoro Mohamed

Valuation of Contingent Claims: Part II – BSM Model & Greeks (2025 Level II CFA® Exam –Module 2)

Valuation of Contingent Claims: Part II – BSM Model & Greeks (2025 Level II CFA® Exam –Module 2)

Introduction to the Black-Scholes formula (BSM)

Introduction to the Black-Scholes formula (BSM)

Lecture 13 - Black Scholes Formula and Understanding N(d1) and N(d2) (CA Final; CFA L2; FRM P1)

Lecture 13 - Black Scholes Formula and Understanding N(d1) and N(d2) (CA Final; CFA L2; FRM P1)

Black Scholes Option Pricing Model Explained In Excel

Black Scholes Option Pricing Model Explained In Excel

table value for black Scholes

table value for black Scholes

Black Scholes model (BSM) and Merton Model Explained! Specially used by traders.

Black Scholes model (BSM) and Merton Model Explained! Specially used by traders.

Kako Resetirati Ford Battery Monitor Sensor (BMS) Ford BMS reset without scanner CHECK  DESCRIPTION

Kako Resetirati Ford Battery Monitor Sensor (BMS) Ford BMS reset without scanner CHECK DESCRIPTION

Black and Scholes Model Call Option

Black and Scholes Model Call Option

bsM d2 ace

bsM d2 ace

  • Загрузить больше

Скачать клипы BSM D2 бесплатно и без регистрации

Clipson.ru - Скачать клипы бесплатно © 2026

Обратная связь: olegvostrilov[dog]gmail.com