Clipson
  • Топ 50 исполнителей
  • Популярные клипы
  • Случайный клип
  • Минусовки онлайн

Скачать клипы Bài 2.3.3.3 ↓

Bài 2.3.3.3 - Lab 4 - Hệ thống số (TH) - HCMUT

Bài 2.3.3.3 - Lab 4 - Hệ thống số (TH) - HCMUT

Nguyễn Thị Ái Vân - 2039230297 chương 2 2.3.3.3 - 2.3.3.9

Nguyễn Thị Ái Vân - 2039230297 chương 2 2.3.3.3 - 2.3.3.9

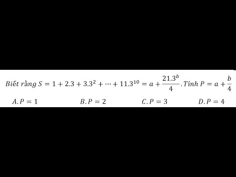
Toán 11: Biết rằng S=1+2.3+ 3.3 ^2+⋯+11.3  ^10=a+21.3^b/4. Tính  P=a+b/4 - Cấp số nhân - Đạo hàm

Toán 11: Biết rằng S=1+2.3+ 3.3 ^2+⋯+11.3 ^10=a+21.3^b/4. Tính P=a+b/4 - Cấp số nhân - Đạo hàm

Toán 7 nâng cao: Tính tổng A=1.2+2.3+3.4+...+99.100;B=1.3+2.4+3.5+...+2013.2015;C=1^2+2^2+3^2+...+..

Toán 7 nâng cao: Tính tổng A=1.2+2.3+3.4+...+99.100;B=1.3+2.4+3.5+...+2013.2015;C=1^2+2^2+3^2+...+..

Bài 2.3.2 Lab 3 Hệ thống số(TH)

Bài 2.3.2 Lab 3 Hệ thống số(TH)

[Hệ thống số L21] Nhóm 6 - Lab 3 - Bài 2.3.3

[Hệ thống số L21] Nhóm 6 - Lab 3 - Bài 2.3.3

[Hệ thống số L21] Nhóm 6 - Lab 4 - Bài 2.3.2

[Hệ thống số L21] Nhóm 6 - Lab 4 - Bài 2.3.2

[Hệ thống số L21] Nhóm 6 - Lab 4 - Bài 2.3.3

[Hệ thống số L21] Nhóm 6 - Lab 4 - Bài 2.3.3

Bài 2.3.3.4 - Lab 4 - Hệ thống số (TH) - HCMUT

Bài 2.3.3.4 - Lab 4 - Hệ thống số (TH) - HCMUT

CO1024(TN) - Lab4 - Ex3

CO1024(TN) - Lab4 - Ex3

Bài 2.3.1.5 - LAB 5 - HỆ THỐNG SỐ (TH) - HCMUT

Bài 2.3.1.5 - LAB 5 - HỆ THỐNG SỐ (TH) - HCMUT

Bài 2 - Lab 4 - Hệ thống số

Bài 2 - Lab 4 - Hệ thống số

2.3.3 Lab 4, Thí nghiệm HTS,Nhóm 1 (Logisim)

2.3.3 Lab 4, Thí nghiệm HTS,Nhóm 1 (Logisim)

Bài 2.3.1.6 - LAB 5 - HỆ THỐNG SỐ(TH)-HCMUT

Bài 2.3.1.6 - LAB 5 - HỆ THỐNG SỐ(TH)-HCMUT

hệ thống số lab 4 tt

hệ thống số lab 4 tt

Bài 3 - Lab 4 - Hệ thống số

Bài 3 - Lab 4 - Hệ thống số

Lab 4 - bài 3: thiết kế mạch register chuyển dữ liệu song song 3 bits sử dụng IC 7473

Lab 4 - bài 3: thiết kế mạch register chuyển dữ liệu song song 3 bits sử dụng IC 7473

Tính S = 1 + 4 + 7 + 10 + … + 2020 Tổng dãy số tự nhiên cách đều 3 đơn vị TOÁN NÂNG CAO TƯ DUY lớp 6

Tính S = 1 + 4 + 7 + 10 + … + 2020 Tổng dãy số tự nhiên cách đều 3 đơn vị TOÁN NÂNG CAO TƯ DUY lớp 6

Hệ thống số - LAB 5 - Exercise 3

Hệ thống số - LAB 5 - Exercise 3

CO1024(TN) - Lab4 - Ex3 (LED)

CO1024(TN) - Lab4 - Ex3 (LED)

  • Загрузить больше

Скачать клипы Bài 2.3.3.3 бесплатно и без регистрации

Clipson.ru - Скачать клипы бесплатно © 2026

Обратная связь: olegvostrilov[dog]gmail.com