Aufg13 - Durchstanzen Fundament (Klausur SoSe 2022)
Task 13 - Point load on ceiling according to DAfStb Booklet 631 (Exam Winter Semester 2025/26)
Aufg13 – Belastungsumordnungsverfahren – Biegebemessung – Stützenbemessung (Klausur SoSe 2024)
Aufg. 13 – Momentenumlagerung (Momenten-Krümmungsdiagramm) (Klausur SoSe 2023)
Aufg13 - Biegebemessung einer Stütze (Klausur SoSe 2023)
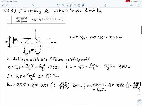
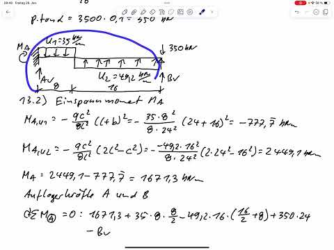
Aufg13 - Einzellast auf Decke gemäß DAfStb Heft 631 (Klausur WiSe 2022/23)
Aufg. 13 – Nachweis der Verformung Kragarmspitze (Klausur SoSe 2022)
Biegebemessung eines Spannbetonträgers (Aufg13 WiSe14/15)
Aufg. 13 – Schnittgrößenermittlung Arbeitssatz – Temperaturbeanspruchung (Klausur SoSe 2022)
Exercise 13 – Bending design of a rectangular cross-section with compression reinforcement (exam ...
Task 13 – Determination of internal forces using the deflection force method of a prestressed con...
Task 13 – FEM model with InfoCad (exam summer semester 2025)
Aufg. 13 – Nachweis Rissbreitenbegrenzung ohne direkte Berechnung (Klausur SoSe 2023)
Aufg. 13 Auflagernahe Einzellast - Querkraftbemessung (Klausur WiSe 21/22)
Übungsblatt8 – Ableitungen mit der Kettenregel Aufg.13
Aufg. 13 – Rissbreitenbegrenzung und Verformungsnachweis (Klausur SoSe 2024)
Momentengleichgewicht | Bsp-Aufg. (schwer) [Aufg 13]
Aufg. 13 – Befestigungsmittel Querlast (Klausur SoSe 2021)
Fundament – Sohldruck und Nachweis Betonzugspannungen – Rep. Massivbau 2 (Aufg13 WiSe16/17)
Massivbau 3 – Beispiel 13 Aussteifung