Aufg. 15 Teil 1 – Nachweis der Verformung einer Deckenplatte (Klausur WiSe 21/22)
Moment bestimmen | Bsp-Aufg. (sehr einfach) [Aufg 15]
USA: Neuer Tag, neue Zölle! Donald Trump verhängt 15 % Zölle auf alle Importe – Druck auf Europa
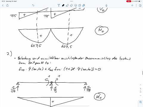
Aufg. 15 – Schnittgrößenumlagerung infolge Kriechen (Klausur SoSe 2022)
Are the Thunderbergs on TR worth it? #15 – Metin2 Hardcore
Übungsblatt7 – Determinante (Ebenengleichungen) Aufg.15
Aufg. 15 Teil 2 – Nachweis der Verformung einer Deckenplatte (Klausur WiSe 21/22)
Aufg. 15 – Nachweis wandartiger Träger – Zugband und Druckstreben am Auflager (Klausur SoSe 2023)
SBF See Navigationsaufgaben, Aufgabe 15
15 statt 10 Prozent: Trump legt nach Zoll-Niederlage vor Gericht nach
Trump will globale Zölle von 10 auf 15 Prozent anheben
Problem 15 Bending design of T-beams: neutral axis in the web – connection to compression flange ...
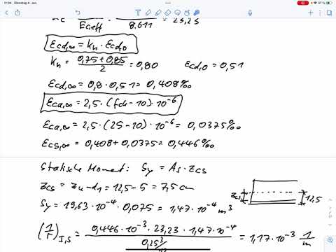
Aufg. 15 – Nachweis der Verformung einer Stahlbetondeckenplatte (Klausur WiSe 22/23)
15 Prozent Zölle: Trump beharrt nach Urteil auf aggressiver Handelspolitik | AFP
Aufg. 15 Biegebemessung / Querkraftbemessung Einfeldträger mit Einzellasten (Klausur SoSe 2023)
Pizza Hut auf dem Gasgrill - 030 BBQ
Kältester Tag am Freitag: Bis zu minus 15 Grad möglich
15 Jahre PietSmiet?! Meine Reaction auf das letzte mal PietSmiet backt
Magnus Carlsen tritt gegen den 15-jährigen norwegischen Blitzschach-Giganten Havard Haug an | Bli...
Donald Trump erhöht die globalen Zölle auf US-Importe von 10 % auf 15 % | Firstpost