Aufg. 14 – Biegebemessung (Klausur SoSe 2022)
Aufg. 14 – Bemessung auf Querkraft und Torsion (Klausur SoSe 2022)
Resultierende + Moment bestimmen | Bsp-Aufg. (sehr einfach) [Aufg 14]
Aufg. 14 Biegebemessung / Querkraftbemessung Einfeldträger mit Kragarm (Klausur SoSe 2022)
Aufg. 14 – Biegebewehrung für gegebene Dehnungsverteilung (Klausur SoSe 2020)
Aufg. 14 – Befestigungsmittel Zug- und Querlast (Klausur SoSe 2023)
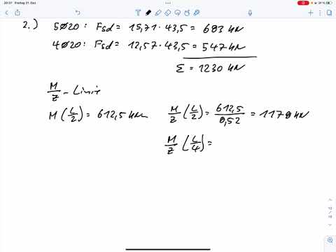
Aufg. 14 Ermittlung der Zugkraftdeckungslinie (Klausur WiSe 21/22)
Problem 14 – Stiffening of a statically determinate system (Exam Summer Semester 2024)
Aufg. 14 – Bemessung eines deckengleichen Unterzuges (Klausur WiSe 21/22)
Problem 14 – Design of a reinforced concrete staircase (flights and landing) (Exam Winter Semeste...
Übungsblatt8 – Ableitungen mit der Umkehrfunktion Aufg.14
Problem 14 Bending design of T-beams and connection of the compression flange (Exam Summer Semest...
Aufg. 14 – Nachweis der Verformung Einfeldträger – Belastung durch Einzellasten (Klausur SoSe 2023)
SBF See Navigationsaufgaben, Aufgabe 14
Aufg. 14 Auflagernahe Einzellast - Querkraftbemessung (Klausur WiSe 23/24)
Übungsblatt7 – Determinante und inverse Matrix Aufg.14
Aufg. 14 Ermittlung der Zugkraftdeckungslinie (Klausur WiSe 22/23)
Aufg. 14 Plattenbalken - Biegebemessung - Anschluss Druckgurt (Klausur WiSe 24/25)
Aufg. 14 Rechteckbalken - Biegebemessung - Querkraftbemessung (Klausur WiSe 25/26)
Atonal melodies, lesson 14_Atonale Melodien, Aufgabe 14 | Ear training | Gehörbildung