Analysis 1 WS 20/21 Video 11.4 - Kapitel 21: Gleichmäßige Konvergenz von Funktionenfolgen, Teil 1
Analysis 1 WS 20/21 Video 11.7 - Kapitel 21: Gleichmäßige Konvergenz von Funktionenfolgen, Teil 4
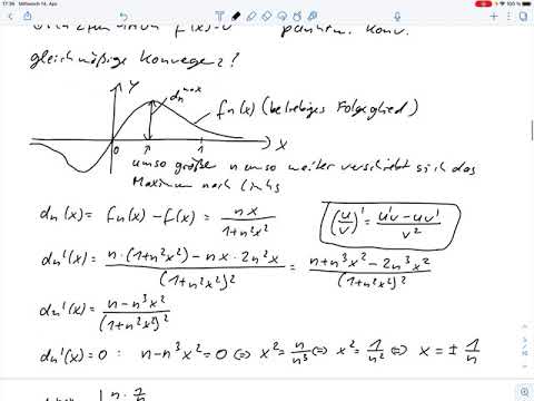
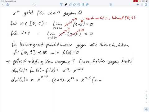
Analysis 1 WS 20/21 Video 11.5 - Kapitel 21: Gleichmäßige Konvergenz von Funktionenfolgen, Teil 2
Analysis 1 WS 20/21 Video 11.1 - Kapitel 20: Uneigentliche Integrale und Gamma-Funktion, Teil 1
Analysis 1 WS 20/21 Video 11.2 - Kapitel 20: Uneigentliche Integrale und Gamma-Funktion, Teil 2
▶ Konvergenz für reelle Funktionen -Beispiele (3/5) [ by MATHE.study ]
HMI 2: 4.12. Beispiel: stetige Funktion mit unstetiger Umkehrfunktion
A4 – Sequence of functions – pointwise and uniform convergence (Exam Summer Semester 2021)
Vorlesung Analysis: Stetigkeit von Funktionen und Grenzwertsätze
HMI 2: 4.7. Stetigkeit und punktweise Konvergenz
Analysis 1 Kapitel 17-20 (Teil1)
Analysis 1 - Summierbare Familien und Umordnungen (Lektion 5c)
Übungsblatt3 Aufgabe 1b und c (Master) – Funktionenfolgen
Konvergenzkriterien | Konvergenzkriterien bei Reihe mit Sinus | LernKompass - Mathe einfach erklärt
Lokal gleichmäßige Konvergenz und Gebietstreue | Die achte Vorlesung im Re-Live
Funktionenfolgen
punktweiser Limes einer gleichmäßig integrierbaren Funktionenfolge (fn) integrierbar
HMI 1: 10.6. Potenzreihen: allgemeines Konvergenzverhalten
Musterlösung zu Aufgabe 3 | Blatt 10 | Analysis 2
Globalübung 7 (Teil 1)