AdS3/CFT2 and Integrability - Alessandro Sfondrini
Alessandro Sfondrini - AdS3/CFT2 and Integrability
HEP Seminar Dec 3, 2021 - AdS3/CFT2 and Integrability
Alessandro Sfondrini: "A Gentle Introduction to the AdS3/CFT2 integrability"
Alessandro Sfondrini - A Gentle Introduction to AdS3/CFT2 Integrability - 02-09-22
Integrability in Gauge and String Theory: Alessandro Sfondrini: Understanding AdS3/CFT2 with mixed..
AdS3 correlation functions from integrability (Alessandro Sfondrini)
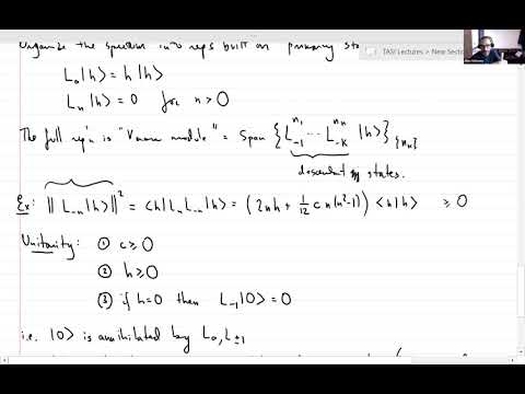
Sfondrini: Integrability and protected states in AdS3/CFT2
Alessandro Sfondrini (IAS /Padova Univ) - "Integrability, TTbar and AdS3/CFT2 correspondence"
Alex Maloney Lecture 1 on CFT2 and AdS3
A. Torrielli: Lower dimensional AdS/CFT correspondences and spin-chain integrability
Alessandro Sfondrini - Mirror thermodynamic Bethe ansatz for AdS3/CFT2
Andrea Cavaglia - Quantum Spectral Curve for AdS3/CFT2: a proposal
Davide Polvara - Recent developments in AdS3/CFT2 integrability
Introduction to Classical Integrability in 2D Field Theories -- Sibylle Driezen (IGFAE)
Fabio Novaes - Charged Generalized Thermalization and Integrable Hierarchies in the AdS3/CFT2 Corres
IGST25 Bogdan Stefanski: Massless Modes and the AdS3/CFT2 QSC
Konstantin Zarembo: Integrability and AdS/CFT - Class 1 of 4
Dennis le Plat: Integrable bootstrap for AdS3/CFT2 correlation functions
Zarembo: Dipole CFT and integrability
Integrability, Dualities and Deformations 2022: Sergey Frolov
2018 Bootstrap School - Pedro Vieira: Integrability, Lecture 1
The spectrum of Ramond-Ramond AdS3/CFT2 ▸ Alessandro Sfondrini (UNIPD)
Wulff: Integrability of strings in AdS3 x S2 x S2 x T3
David: Time dependence in AdS3/CFT2 with higher spin