6/10 Lectia 124 - L7 - Mai multe exercitii din Manualul de clasa a V-a - Stanica, Perianu, Savulescu
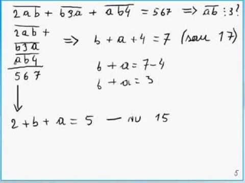
5/10 Lectia 124 - L7 - Mai multe exercitii din Manualul de clasa a V-a - Stanica, Perianu, Savulescu
7/10 Lectia 124 - L7 - Mai multe exercitii din Manualul de clasa a V-a - Stanica, Perianu, Savulescu
4/10 Lectia 124 - L6 - Mai multe exercitii din Manualul de clasa a V-a - Stanica, Perianu, Savulescu
2/10 Lectia 124 - L6 - Mai multe exercitii din Manualul de clasa a V-a - Stanica, Perianu, Savulescu
3/10 Lectia 124 - L6 - Mai multe exercitii din Manualul de clasa a V-a - Stanica, Perianu, Savulescu
8/10 Lectia 124 - L8 - Mai multe exercitii din Manualul de clasa a V-a - Stanica, Perianu, Savulescu