40 cls10 Functii si ecuatii functii trigonometrice aplicatii partea 2 - profesorultau.ro
41 cls10 Functii si ecuatii functii trigonometrice aplicatii partea 3 - profesorultau.ro
39 cls10 Functii si ecuatii functii trigonometrice aplicatii partea 1 - profesorultau.ro
45 cls10 Functii si ecuatii functii trigonometrice aplicatii partea 7 - profesorultau.ro
44 cls10 Functii si ecuatii functii trigonometrice aplicatii partea 6 - profesorultau.ro
47 cls10 Functii si ecuatii functii trigonometrice aplicatii partea 9 - profesorultau.ro
40 cls11 Limite de functii dreapta reala incheiata opearatii care au sens aplicatii partea 3
1/2 Lectia 486 - Functii - Functii elementare - Directe si Inverse - Limite de functii - Clasa 10
Problema 426: Funcții trigonometrice #profuldemate2020 #Bacalaureat #Evaluare #Națională #matematică
Trigonometrie --Lectia 2-
1/2 Lectia 395 - Functii Inegalitati Ecuatii exponentiale logaritmice trigonometrice Inecuatii Liceu
Trigonometrie. L10 Ecuatii trigonometrice directe-ecuatii cosx=a
Trigonometrie --Lectia 19-
42 cls10 Matematici financiare chestiuni teoretice aplicatii partea 1 - profesorultau.ro
Lectia 331 - Grafice de functii Inecuatii Ecuatii exp log - Test autoevaluare Clasa 10
Trigonometrie --Lectia 15-
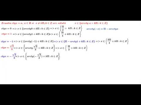
Trigonometrie. L12 Ecuatii trigonometrice directe - ecuatii ctg=a
Clasa a X-a - Cap. 2 – Funcții
Lectia 48 - Integrale- Metoda substitutiei
Lectia BAA 40 - Ecuatii cu logaritmi