2/2 1705 Clasa 6 - Rezolvam probleme cu MARIMI DIRECT si INVERS PROPORTIONALE | Operatii cu fractii
1/2 1705 Clasa 6 - Rezolvam probleme cu MARIMI DIRECT si INVERS PROPORTIONALE | Operatii cu fractii
2/2 1697 Clasa 6 - Rapoarte si proportii Proportii derivate Exercitii si Probleme Tema pt. acasa
1/2 1697 Clasa 6 - Rapoarte si proportii Proportii derivate Exercitii si Probleme Tema pt. acasa
1/2 1707 Clasa 6 Concurenta liniilor importante triunghi Centru cerc Inscris Circumscris Ortocentru
2/2 Lectia 210 - Marimi direct si invers proportionale Clasa 6 Tema acasa Matematica Proful Online
1/2 1698 Clasa 6 Rapoarte si Proportii pe INTELESUL VOSTRU. Ce este un raport? Dar o proportie?
2/2 1717 Clasa 6 Semnele la algebra Repartizarea semnelor + - intr-o suma Gauss pt. obt rezultat fix
2/2 Lectia 1451 - Marimi direct si invers proportionale - Exercitii din tema pentru acasa - Clasa 6
Mărimi invers proporţionale | Lectii-Virtuale.ro
Clasa a VI-a - Proporții derivate
1/2 Lectia 1451 - Marimi direct si invers proportionale - Exercitii din tema pentru acasa - Clasa 6
Aflati numerele x si y, stiind ca sunt invers proportionale cu 3 si 2,(4) si media lor artimetica
1/2 Lectia 470 - Rezolvam probleme cu marimi direct si invers proportionale - Tema acasa - Clasa 6
2/2 Lectia 474 - Testarea de la clasa la marimi direct si invers proportionale - Clasa 6
3/3 Lectia 1703 Clasa 6 - Marimi direct proportionale si Marimi invers proportionale Tema la algebra
1/2 Lectia 434 - Marimi direct si invers proportionale - Aplicatii - Tema la matematica - Clasa 6
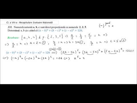
Cl a VIII-a - Recapitulare EN - pb 131 - direct proporționale 2, 3, 5 - Model MEN Test 6 - apr 2020
1/4 1691 Admitere facultate - Siruri Sir convergent Limita Sir | Functie Formule calcul prescurtat
1/2 Lectia 817 - Probleme ce presupun operatii cu fractii si metoda figurativa - Tema Clasa 4