17 cls9 Functia de gr 1 sisteme de inecuatii aplicatii partea 2 - profesorultau.ro
22 cls9 Functia de gr 2 maximul sau minimul functiei de gr 2 aplicatii partea 1
2/2 Lectia 1709 Clasa 8 si Liceu - Inecuatii Functii Sisteme de inecuatii pe INTELESUL VOSTRU
sisteme de inecuatii - exercitii rezolvate - profesorultau.ro
41 cls9 Functii monotonia unei functii aplicatii partea 2 - profesorultau.ro
Ecuatii de gradul I (lic_ecuatiegrad1_2)
31 cls9 Functia de gr 2 relatiile lui Viete aplicatii partea 4 - profesorultau.ro
17 Operatii cu numere naturale ecuatii si inecuatii partea 2
15 cls9 Functii siruri progresii aritmetice aplicatii partea 2 - profesorultau.ro
36 cls9 Functii graficul unei functii aplicatii partea 2 - profesorultau.ro
16 cls9 Functii siruri progresii aritmetice aplicatii partea 3 - profesorultau.ro
Forma implicita si forma explicita a unei functii
Sisteme de inecuatii clasa a 9-a
13 cls9 Functii siruri progresii aritmetice definitii partea 2 - profesorultau.ro
Inecuatie de gradul I cu o singura necunoscuta
Ecuatii in Z
19.210 Matrice inversabile Inversa unei matrice
12 cls9 Functii siruri progresii aritmetice definitii partea 1 - profesorultau.ro
38 cls9 Functii functii pare functii impare definitii si aplicatii - profesorultau.ro
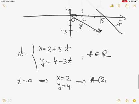
Ecuatiile parametrice ale dreptei in plan