10.1.2.5 Packet Tracer - Propagating a Default Route in OSPFv2
10.1.2.5 Lab - Configuring Basic DHCPv4 on a Switch
[CCNA v6] Packet Tracer 10.1.2.5 Propagating a Default Route in OSPFv2
PKT 10.1.2.5 - Propagating a Default Route in OSPFv2
10.1.2.5 - 5.1.3.5 Packet Tracer - Propagating a Default Route in OSPFv2
10.1.2.5-Lab-Configuring-Basic-DHCPv4-on-a-Switch
10.1.2.5 - 2.2.2.6 Lab - Configure CDP and LLDP
Latest 10.1" 2.5D Full-Screen 1280*800 1Din Head Unit Android 10 Autoradio
CCNA: 10.1.2.5 Packet Tracer Propagating a Default Route in OSPFv2
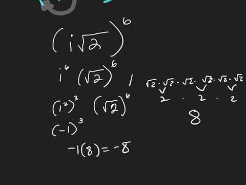
10.1 - 2.5 Fundamental Theorem of Algebra
AACC - CTS230 - Scaling Networks v6 - Fall 2017 - OSPF Default Route 10.1.2.5 - Week #7
ITN - 10.1.2.5 - Researching Peer to Peer File Sharing
#10.1 - 2.5.1 Intro to Inverse Functions - Algebra 2
[CCNA 3]PT 10.1.2.5 Packet Tracer - Propagating a Default Route in OSPFv2 (ver.JPN)
Курс Молодого Бойца Часть 3 2020 CCNA 3 SN 10.1.2.5 Packet Tracer - Распространение маршрута
[CCNA v6] 10.1.2.5 Packet Tracer - Propagating a Default Route in OSPFv2
10.1.2.5 Packet Tracer: Propagación de una ruta predeterminada en OSPFv2
Deal JOYING 10.1"2.5D IPS Android 10 Car Radio Auto Stereo HD 1280*720 Head Unit Multimedia Audio P