1/3 1682 Liceu - Functia de gradul 1 Functii Surjective Injective Bijective Rezolvare sistem liniar
2/3 1682 Liceu - Functia de gradul 1 Functii Surjective Injective Bijective Rezolvare sistem liniar
3/3 1682 Liceu - Functia de gradul 1 Functii Surjective Injective Bijective Rezolvare sistem liniar
Functii surjective 2 7 pg4)
1/3 Lectia 775 Monotonie Graficul functiei grd 2 Functii surjective injective bijective inversabile
1/2 Lectia 1709 Clasa 8 si Liceu - Inecuatii Functii Sisteme de inecuatii pe INTELESUL VOSTRU
Livia Liv
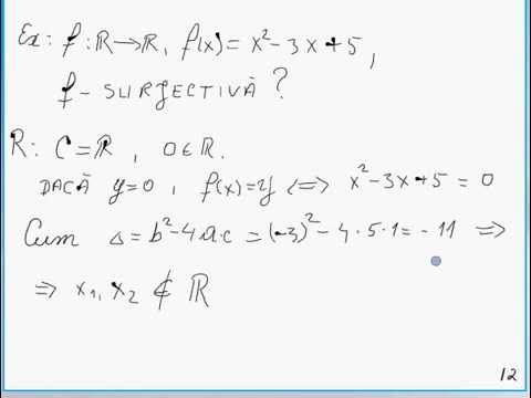
4. 5. FUNCTII SURJECTIVE
Grade 1 function graph
FunctiaDeGradul1
4 6 FUNCTII BIJECTIVE
2/2 Lectia 310 - Functii surjective injective bijective inversabile explicate CLAR cu Ana - Clasa 10
1776 Anul 2003 Liceu Functii Directe Inverse Surjective Injective Bijective Exemple de functii
Lectia 1790 - An 2003 - Liceu - Functii: Functie surjectiva Injectiva Bijectiva Inversa unei functii
2/2 Lectia 714 - Functii Surjective Injective Bijective Inversabile - Recapitulare functii Clasa 10
1/2 Lectia 310 - Functii surjective injective bijective inversabile explicate CLAR cu Ana - Clasa 10
Integrals simple - Lesson IS 9
Funcții surjective si injective. Funcții bijective.
O lectie pe care trebuie sa o stii la bacalaureat! Studul bijectivitatii prin metode analitice
Function injectiva-surjectiva- http://videomeditatii.com/