1/2 Lectia 678 - Compararea a doua puteri cu baze diferite si exponenti diferiti - Tema la Clasa 5
2/2 Lectia 678 - Exercitii cu teorema impartirii cu rest - Tema la Clasa 5
VOCEA BAGABONTILOR メ LĂTRĂII • OFICIAL VIDEO
1/2 Lectia 679 - Introducerea notiunii de fractie | Adunarea si scaderea a 2 fractii - Tema Clasa 4
1/2 Lectia 1361 Probleme de olimpiada: Teorema impartirii cu rest - Clasa 5
1/2 Lectia 936 Teorema impartirii cu rest Criterii de divizibilitate Fractia unui numar - Clasa 4
1/5 1836 Clasa 6 Distributivitatea inmultirii fata de adunare Factor comun Algoritmul Inmultirii
1/2 Lectia 1547 Operatii cu puteri si fractii | Inductia matematica la nivelul clasei a 4-a si a 6-a
Clasa a V-a - Cap. Numere naturale - Puterea cu exponent natural a unui număr natural - TEORIE
1/2 1245 Multimi Fractii Criterii divizibilitate Teorema impartirii rest Triunghiuri congruente CL 6
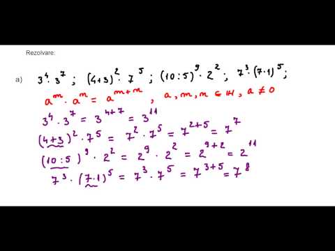
Clasa a V-a - Cap. Numere naturale - ex 2 - reguli de calcul cu puteri
Clasa a IV-a - Împărțirea numerelor mai mici decât 1.000.000 la un nr de 2 cifre
1/2 Lectia 538 - Compararea a doua puteri avand baze diferite si exponenti diferiti - Clasele 5-8
2/2 1233 Varianta TEZA: Criterii de divizibilitate Puteri Probleme de pus in ecuatie - Clasa 5
fortnite old times
1/2 Lectia 739 - Ecuatii si inecuatii Teorema impartirii cu rest Metoda figurativa - Tema Clasa 5
1/2 Lectia 1253 Prisma Piramida regulata Sectiunea facuta intr-o Prisma Plane paralele - Clasa 8
1/2 1233 Varianta TEZA: Criterii de divizibilitate Puteri Probleme de pus in ecuatie - Clasa 5
1/2 Lectia 746 Compararea a 2 puteri Teorema impartirii rest Media aritmetica Ultima cifra - Clasa 5
1/2 Lectia 1107 Teorema impartirii cu rest Divizibilitate Criterii de divizibilitate - Clasa 5