1/2 Lectia 633 - Ecuatii Inecuatii Sume Gauss Probleme prin metoda falsei ipoteze - Tema la Clasa 5
2/2 Lectia 633 - Ecuatii Inecuatii Sume Gauss Probleme prin metoda falsei ipoteze - Tema la Clasa 5
1/2 Lectia 634 - Problema de numarare Metoda figurativa Problema de logica si perspicacitate Clasa 4
1/2 1576 Clasa 2 Metoda falsei ipoteze Comparari Rotunjirea numerelor la nivelul zecilor si sutelor
2/2 Lectia 634 - Problema de numarare Metoda figurativa Problema de logica si perspicacitate Clasa 4
1/2 Lectia 632 - Operatii cu Matrice | Siruri sub forma recurenta sau forma termen general Clasa 11
1/2 Lectia 627 - Ordinea efectuarii operatiilor, parantezelor Metoda Grafica Falsei ipoteze Clasa 4
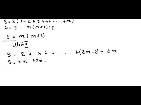
Clasa a V-a - Cap. Nr. naturale - ex 1 - Sume Gauss - suma primelor 2n numere pare
1/2 Lectia 444 - Dupa ce am inteles ideea autorului, incercam sa compunem si noi probleme - Clasa 4
1/2 Lectia 611 - Distributivitatea inmultirii Scoaterea in factor comun Sume Gauss - Tema Clasa 5
1/2 1233 Varianta TEZA: Criterii de divizibilitate Puteri Probleme de pus in ecuatie - Clasa 5
2/6 Lectia 72 Matematica - Rezolvam problema cls 5 si Inecuatii si Functii cu Proful Online
Clasa a V-a - Cap. Numere naturale - Ecuatii si inecuatii - ex 2
1/2 Lectia 739 - Ecuatii si inecuatii Teorema impartirii cu rest Metoda figurativa - Tema Clasa 5
Lectia 592 - Rezolvam probleme prin metoda falsei ipoteze si metoda figurativa - Clasa 4
2/2 Lectia 1614 Clasa 2 - Metoda Figurativa Mersului inapoi Inmultirea Impartirea cu 10 | 100
6/6 Lectia 72 Matematica - Rezolvam problema cls 5 si Inecuatii si Functii cu Proful Online
Lectia 552 - Rezolvam o problema frumoasa de aritmetica - Metoda falsei ipoteze - Ciclul primar
Lectia 1026 Operatii cu numere zecimale Probleme de pus in ecuatie Volumul unui paralelipiped Cls 5
Matematica - teoreme la geometrie 1
Lectia 1878 - Clasa 4 - Maria - Numere prime, Divizibilitate - Introducem Puterile
1/2 Lectia 1231 Sume Gauss Divizibilitate Propozitii Ecuatii Probleme de pus in ecuatie - Clasa 5
1/2 Lectia 637 - Ecuatii | Inecuatii | Sume Gauss | Duble inegalitati | Puteri - Tema la Clasa 5
Ecuatie reazolvata (lic_ecgrad2_15)
Ecuatie de clasa a V-a! :)))