1/2 Lectia 386 - Rezolvam probleme cu binomul lui Newton - Tema la matematica - Clasa 10
2/2 Lectia 386 - Rezolvam probleme cu binomul lui Newton - Tema la matematica - Clasa 10
1/2 Lectia 385 - Rezolvam probleme cu procente - Tema la matematica din manual - Clasa 6
1/2 Lectia 384 - Sisteme de ecuatii si o problema bazata pe inegalitatea mediilor - Clasa 10
Utilizare: Bancă de exerciţii gravitaţională Prof
1/2 Lectia 365 - Binomul lui Newton - Aplicatii - Matematica - Clasa 10
1/2 Lectia 391 - Probleme de divizibilitate - Ecuatii diverse - Tema la matematica - Clasa 10
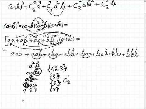
1/2 Lectia 363 - Binomul lui Newton - Exercitii si probleme - Matematica - Clasa 10
1/2 Lectia 357 - Binomul lui Newton Identitati si Inegalitati interesante tip olimpiada - Clasa 10
1/2 Lectia 393 - Functii injective Ecuatii logaritmice Numere complexe - Tema la matematica Clasa 10
2/2 Lectia 384 - Sisteme de ecuatii si o problema bazata pe inegalitatea mediilor - Clasa 10
1/2 Lectia 378 - Binomul lui Newton - Aplicatii - Tema la matematica - Clasa 10
1/2 Lectia 495 - Analiza combinatorica Permutari Aranjamente Combinari Binomul lui Newton - Clasa 10
Lectia 397 - Binomul lui Newton - Exercitii si probleme - Tema pentru acasa la matematica - Clasa 10
2/2 Lectia 387 - Trei probleme clasice cu procente si una de geometrie - Tema la matematica Clasa 6
2/2 Lectia 390 - Paralele taiate de o secanta - Probleme - Tema la matematica - Geometrie - Clasa 6
2/2 Lectia 363 - Binomul lui Newton - Exercitii si probleme - Matematica - Clasa 10
2008 Clasa XIII Lectia 21 Ioan Ursu Proful Online
1/2 Lectia 383 - Numere complexe si Diverse probleme de algebra - Tema matematica - Clasa 10
Elemente de Combinatorica (part 7/8): Binomul lui Newton