1/2 Lectia 209 - Rezolv subiecte matematica M2 simularea nationala Bacalaureat BAC 2014 Profu Online
Lecţia # 209 – Present Perfect Continuous (3) – exerciţii, multe exerciţii 📒✍🤓
2/2 Lectia 209 - Rezolv subiecte matematica M2 simularea nationala Bacalaureat BAC 2014 Profu Online
Las Fierbinti episod de paste carlos || 1080p
Lecţia # 205 – Prepoziția mereu după verb - "milioane" de exemple, ca să-ți intre în reflex 📒🔝
Lecţia # 186 – Connectors (3) – Adăugarea unei idei sau prezentarea unui argument - part 1/2
Lecţia # 187 – Connectors (4) – Adăugarea unei idei sau prezentarea unui argument – part 2/2
Lecţia # 290 – TO RECOMMEND, un verb mai special 🙃
1/2 Lectia 210 - Marimi direct si invers proportionale Clasa 6 Tema acasa Matematica Proful Online
Lecţia # 207 – Present Perfect Continuous (1) – în sfârşit înţelegi ce înseamnă şi când îl foloseşti
1/2 Lectia 211 - Probleme de geometrie in spatiu si plana - Ecuatii Clasa 8 Matematica Profu Online
Lecţia # 210 – 🗣🇺🇸 Text # 5: "Redecorating the Apartment" citit de un american din New York 😎
Lecţia # 195 – Băuturi 🍺, dulciuri 🍰, vesélă 🍽 & ustensile din bucătărie 🧂, mesele zilei ⏰
Lecţia # 204 – Prepoziţia mereu după verb – uşor de zis 🤩, greu de făcut 😭
Lecția # 262 – Connectors (5) – Demonstrarea unui fapt – part 1/2
Lecţia # 203 – PHRASAL VERBS – “nu e panică, man!” 🤷
Lecţia # 167 – Ce-i cu MYSELF ăsta?! 😮
Lecţia # 263 – Connectors (6) – Demonstrarea unui fapt – part 2/2
#trusca2015 - Cand auzi iar de Bacalaureat
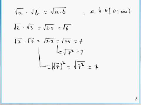
5 L7 radicali