1/2 Lectia 1692 Clasa 6 - Proportii derivate - Ce este o proportie? Tema pentru acasa la algebra
2/2 Lectia 1692 Clasa 6 - Proportii derivate - Ce este o proportie? Tema pentru acasa la algebra
Clasa a VI-a - Șir de rapoarte egale
Clasa V Divizor Multiplu
1/2 Lectia 373 - Rapoarte si proportii - Rezolvam exercitii probleme tema acasa matematica - Clasa 6
Proportii
1/2 1698 Clasa 6 Rapoarte si Proportii pe INTELESUL VOSTRU. Ce este un raport? Dar o proportie?
1/2 1697 Clasa 6 - Rapoarte si proportii Proportii derivate Exercitii si Probleme Tema pt. acasa
Clasa a VI-a - Proporții derivate
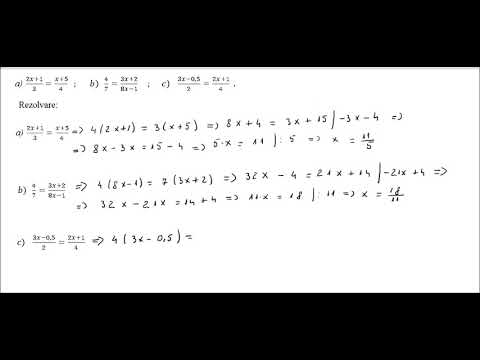
Clasa a VI-a - Proportii - ex. 5 - aflarea necunoscutei dintr-o proportie
Recapitulare rapoarte si proportii clasa a VI a ( www.supermeditatii.ro)
Produsul extremilor este egal cu produsul mezilor
1/4 1687 Clasa 6 - PROCENTE Aflarea procentului dintr-un numar Aflarea numarului cind stim procentul
Clasa a VI-a - Proportii - ex. 1- termenii unei proportii
Clasa a VI-a - Proportii - ex. 3-produsul extremilor este egal cu produsul mezilor
Sir de rapoarte egale, clasa a VI-a
Aflarea termenului necunoscut dintr -o proporție
1/3 Lectia 1694 Clasa 6 - Rapoarte si Proportii | Proportii derivate - Exercitii din tema la algebra
1/2 Lectia 188 - Rapoarte si proportii, Probabilitati - Tema acasa - Matematica cu Proful Online
2/3 Lectia 1694 Clasa 6 - Rapoarte si Proportii | Proportii derivate - Exercitii din tema la algebra