1/2 Lectia 1330 Functii pe intelesul VOSTRU: Teorie Exemple Grafice Exercitii - Clasa 8
2/2 Lectia 1330 Functii pe intelesul VOSTRU: Teorie Exemple Grafice Exercitii - Clasa 8
1/2 Lectia 1350 Functii Graficul unei functii Functia de gradul 1 Coliniaritatea a 3 puncte Clasa 8
1/3 Lectia 1366 Functii egale Determinarea unei functii in conditii date Grafice de functii Clasa 8
1/2 Lectia 1370 Functii Multimea valorilor unei functii Reprezentarea grafica a unei functii Clasa 8
Lectia 1333 Functii: Domeniul de definitie Graficul unei functii Modul Ecuatii cu modul Clasa 8
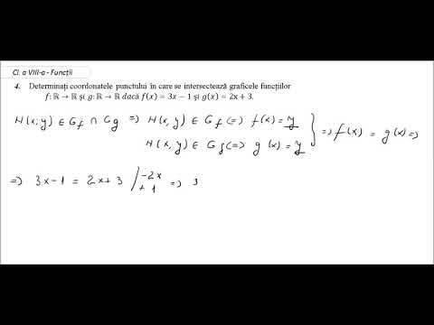
Intersectia graficelor a doua functii liniare
1/2 Lectia 1709 Clasa 8 si Liceu - Inecuatii Functii Sisteme de inecuatii pe INTELESUL VOSTRU
1/2 Lectia 1358 Intersectia graficelor a 3 functii Calculam aria triunghului rezultat Clasa 8
2/2 Lectia 1350 Functii Graficul unei functii Functia de gradul 1 Coliniaritatea a 3 puncte Clasa 8
Functii Introducere
1/2 Lectii 1327 Functii Exemple Elemente componente Graficul unei functii - Clasa 8
Functii - notiuni introductive , moduri de definire clasa a VIII a ( www.supermeditatii.ro)
54 cls11 Reprezentarea grafica a functiilor aplicatii partea 2 - profesorultau.ro
2/2 Lectia 1709 Clasa 8 si Liceu - Inecuatii Functii Sisteme de inecuatii pe INTELESUL VOSTRU
Aflarea codomeniului unei functii
3/3 1682 Liceu - Functia de gradul 1 Functii Surjective Injective Bijective Rezolvare sistem liniar
Probleme rezolvate imag functii si grafic functii clasa a VIII a( www.supermeditatii.ro)
FunctiaDeGradul1
Cl a VIII-a - Funcții liniare - (4) - punctul de intersectie a doua grafice de functii