Übungsblatt9 Aufgabe a5 – Dreifachintegral
Übungsblatt9 Aufgabe d.2 – Volumen mittels Dreifachintegral
Übungsblatt9 Aufgabe a1 – Dreifachintegral
Übungsblatt9 Aufgabe a3 – Dreifachintegral
Analysis13 A5-1: Auf- und Ableiten von e Funktionen
2015.Pflichtteil.Aufgabe09
Übungsblatt8 Aufgabe o – Flächenträgheitsmoment Doppelintegral und Spannungsnachweis
A4 – Integration – Fläche in Polarkoordinaten (Klausur SoSe 2020)
Übungsblatt1 Aufgabe a1 - Grundintegrale (alt)
Dreifachintegral – Aufgabe 30 – Rep. Mathematik 2
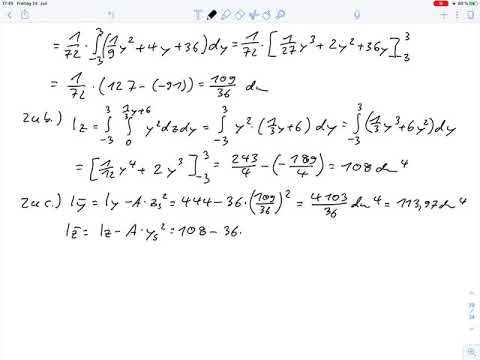
Doppelintegral - Flächenträgheitsmoment – Aufgabe 28 – Rep. Mathematik 2
Dreifachintegral – Volumenberechnung – Aufgabe 33 – Rep. Mathematik 2
Vorlesung M.5 - Mehrdimensionale Integrale: Dreifachintegrale in Zylinderkoordinaten
Übungsblatt8 Aufgabe i.2 – Schwerpunkt Doppelintegral
Übungsblatt8 Aufgabe l – Flächenträgheitsmoment Doppelintegral
Doppelintegral - Flächenträgheitsmoment (Polar) – Aufgabe 29 – Rep. Mathematik 2
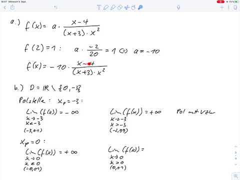
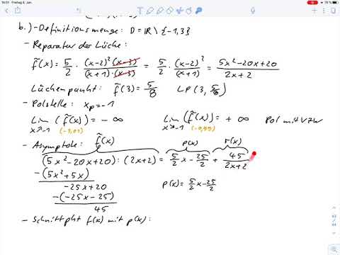
Kurvendiskussion einer gebrochenrationalen Funktion - Aufgabe 39 – Rep. Mathematik 1
Funktionsgleichung aufstellen und Berechnung eines Hochpunktes (Klausur WiSe 2018/19 Aufgabe 8)
Das Riemann-Integral - Aufteilen der Integrationsbereichs
Prüfungsvorbereitung Integralrechung Volumen auf pfälzisch
Analytische Geometrie – Geradengleichungen in der Ebene – Aufgabe 9 – Rep. Mathematik 1
21Integrale - Rotationskörper - Abi Aufgaben
Übungsblatt8 Aufgabe k – Flächenträgheitsmoment Doppelintegral
A4 – Matrix – Produkt/Inverse (Klausur SoSe 2022)
A7 – Kurvendiskussion gebrochenrationale Funktion(Klausur SoSe 2020)