Übungsblatt9 Aufgabe b2 – Dreifachintegral in Zylinderkoordinaten
Übungsblatt9 Aufgabe b1 – Dreifachintegral in Zylinderkoordinaten
Übungsblatt9 Aufgabe a5 – Dreifachintegral
Übungsblatt9 Aufgabe a1 – Dreifachintegral
Übungsblatt9 Aufgabe c – Volumen mittels Dreifachintegral in Zylinderkoordinaten
Übungsblatt9 – Lagrange Interpolationspolynom Aufg.1a
Übungsblatt9 Aufgabe a3 – Dreifachintegral
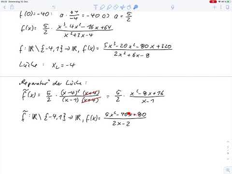
Übungsblatt9 – Aufstellen einer Funktionsgleichung (Steckbriefaufgabe) Aufg.2b,e und h
Übungsblatt9 Aufgabe d.2 – Volumen mittels Dreifachintegral
Übungsblatt9 Aufgabe e – Schwerpunkt mittels Dreifachintegral in Zylinderkoordinaten
Übungsblatt9 – Kurvendiskussion (Funktion aufstellen, Polstellen, Asymptote, Graphen) Aufg.4b
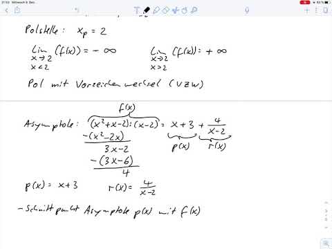
Übungsblatt9 – Kurvendiskussion (Polstellen, Asymptote, Graphen) Aufg.3a
Exercise Sheet 9 – Curve Sketching (Poles, Asymptotes, Graphs) Problem 3b
Übungsblatt 9 Selbstorganisation
Exercise Sheet 9 – Curve Sketching (Setting up a function, poles, asymptotes, graphs) Problem 4a
Übungsblatt 9, Aufgabe 1 -- TU Dortmund, Höhere Mathematik II (BCI/BW/MLW)
Mathematik für Bauingenieure Übungsblatt 9 , Differentation versch. Parameter
Übungsblatt 9
Übungsblatt 9, Aufgabe 5 -- TU Dortmund, Höhere Mathematik II (BCI/BW/MLW)
Übungsblatt 9, Aufgabe 1 -- TU Dortmund, Höhere Mathematik I (BCI/BW/MLW), WS2018/19 (ÜB9 A1)